Официальное опубликование правовых актов
ОФИЦИАЛЬНОЕ ОПУБЛИКОВАНИЕ
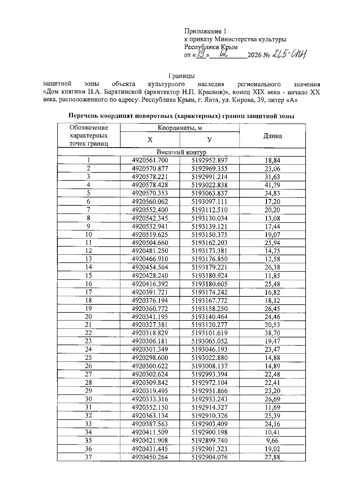
Приказ Министерства культуры Республики Крым от 19.02.2026 № 205-ОКН
"Об установление границ защитной зоны объекта культурного наследия, режимов использования земель и требований к градостроительным регламентам в границах защитной зоны объекта культурного наследия регионального значения "Дом княгини Н.А. Барятинской (архитектор Н.П. Краснов)", конец XIX века - начало XX века, расположенного по адресу: Республика Крым, г. Ялта, ул. Кирова, 39, литер "А"
(Зарегистрирован 20.02.2026 № 3312)
Номер опубликования: 9101202602250005
Дата опубликования: 25.02.2026
Страница №3 из 6:
Увеличить