Официальное опубликование правовых актов
ОФИЦИАЛЬНОЕ ОПУБЛИКОВАНИЕ
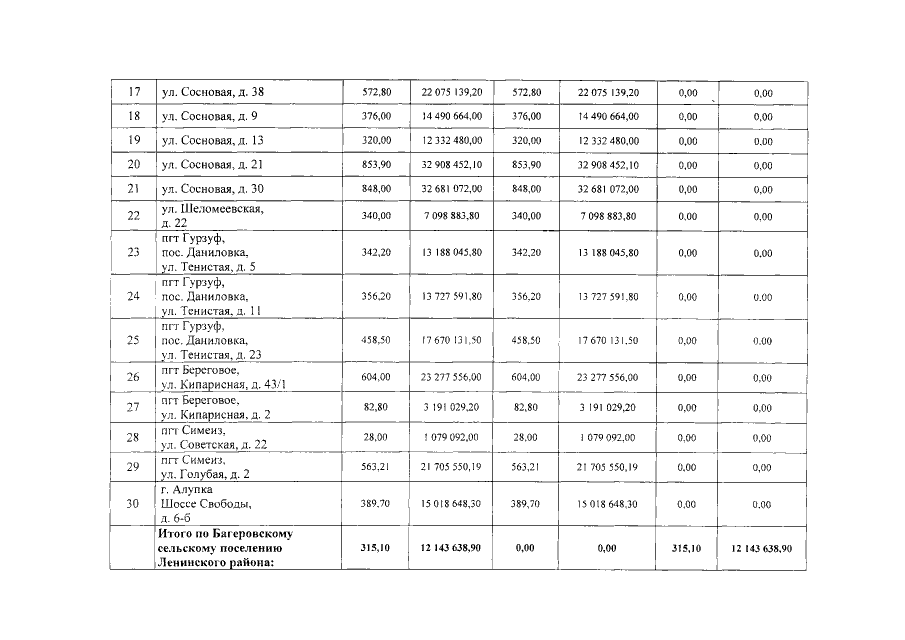
Постановление Совета министров Республики Крым от 20.12.2019 № 751
"О внесении изменений в постановление Совета министров Республики Крым от 29 марта 2018 года № 148"
Номер опубликования: 9100201912270012
Дата опубликования: 27.12.2019
Страница №18 из 19:
Увеличить