Официальное опубликование правовых актов
ОФИЦИАЛЬНОЕ ОПУБЛИКОВАНИЕ
Постановление Совета министров Республики Крым от 17.12.2018 № 642
"О внесении изменений в некоторые постановления Совета министров Республики Крым"
Номер опубликования: 9100201812250010
Дата опубликования: 25.12.2018
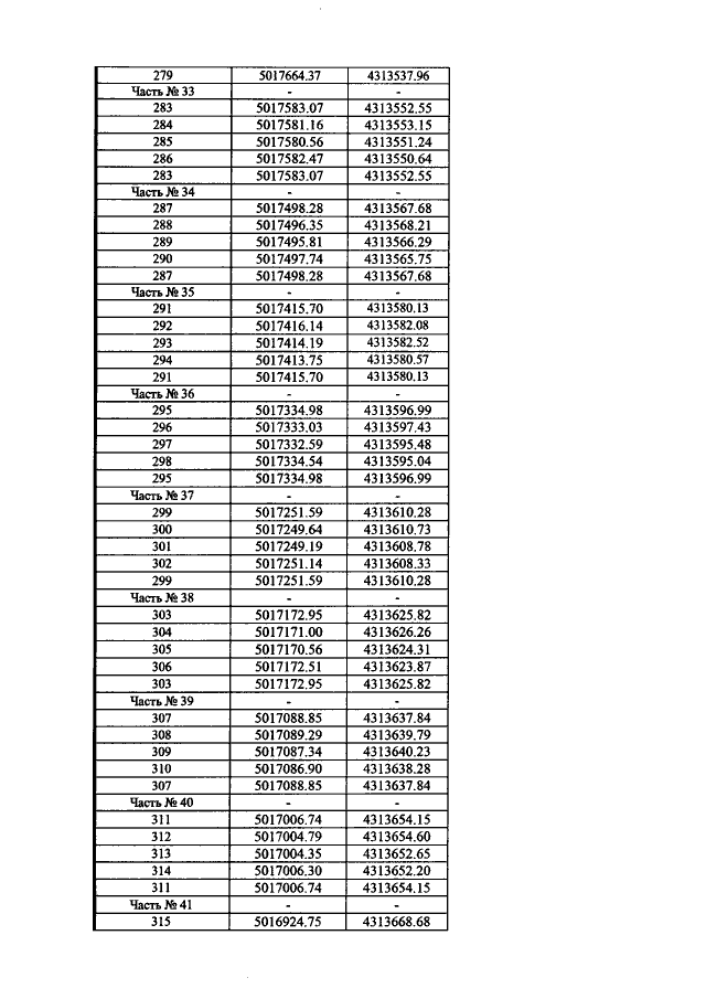
Страница №140 из 315:
Увеличить