Официальное опубликование правовых актов
ОФИЦИАЛЬНОЕ ОПУБЛИКОВАНИЕ
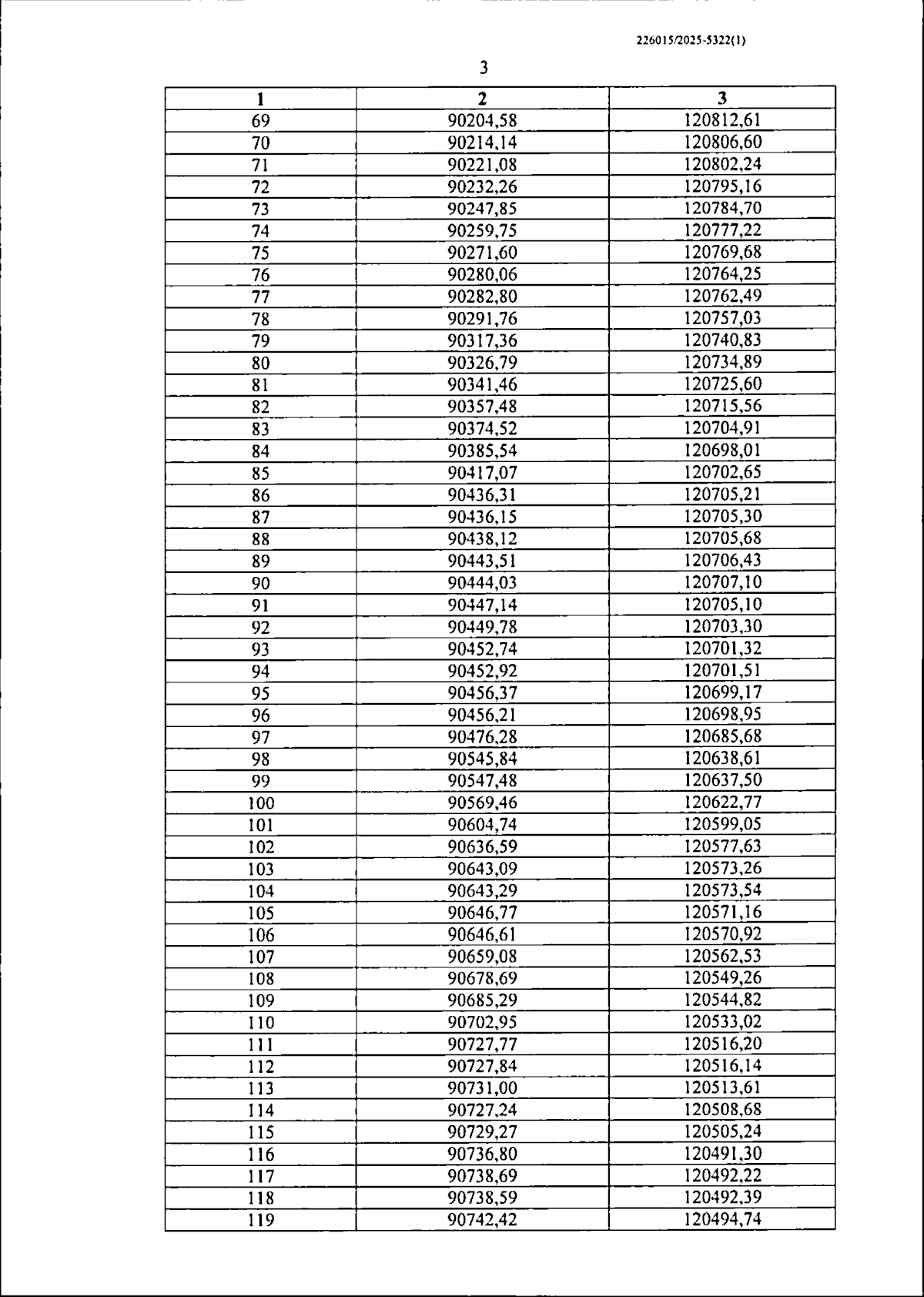
Постановление Правительства Санкт-Петербурга от 28.05.2025 № 356
"Об утверждении проекта планировки с проектом межевания территории для размещения линейного объекта регионального значения "Октябрьская наб. от проектируемой улицы до ул.Дыбенко"
Номер опубликования: 7800202506030007
Дата опубликования: 03.06.2025
Страница №10 из 33:
Увеличить