Официальное опубликование правовых актов
ОФИЦИАЛЬНОЕ ОПУБЛИКОВАНИЕ
Постановление Правительства Санкт-Петербурга от 22.04.2025 № 261
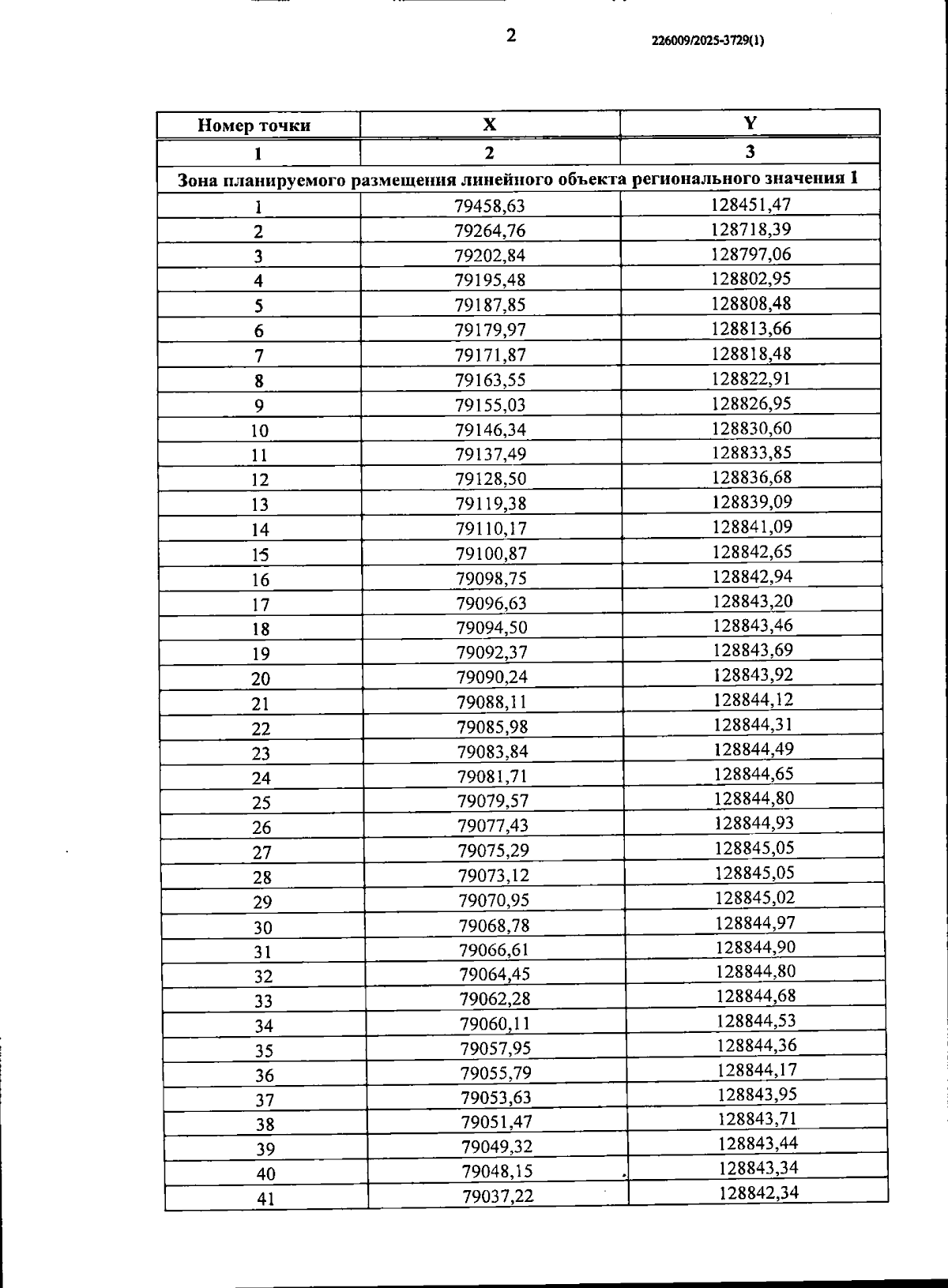
"Об утверждении проекта планировки с проектом межевания территории для размещения линейного объекта регионального значения "Железнодорожный путь необщего пользования от железнодорожной станции Ижоры до границ земельного участка с кадастровым номером 78:37:0017401:3"
Номер опубликования: 7800202504280009
Дата опубликования: 28.04.2025
Страница №10 из 28:
Увеличить