Официальное опубликование правовых актов
ОФИЦИАЛЬНОЕ ОПУБЛИКОВАНИЕ
Постановление Правительства Санкт-Петербурга от 19.12.2024 № 1148
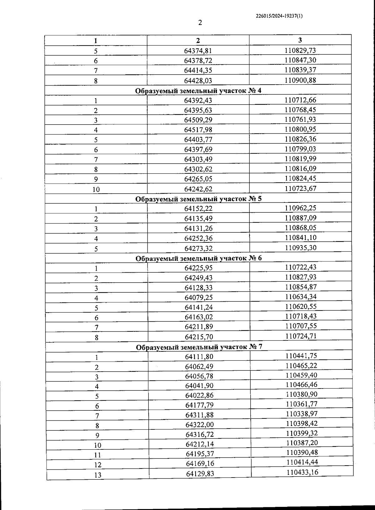
"О внесении изменений в постановление Правительства Санкт-Петербурга от 19.12.2017 № 1073 и утверждении проекта межевания территории северо-западнее Гатчинского шоссе, ограниченной проектируемой улицей № 4, проектируемой улицей № 3, проектируемой улицей № 2, проектируемой улицей № 1, в Пушкинском районе"
Номер опубликования: 7800202412260011
Дата опубликования: 26.12.2024
Страница №30 из 51:
Увеличить