Официальное опубликование правовых актов
ОФИЦИАЛЬНОЕ ОПУБЛИКОВАНИЕ
Постановление Правительства Санкт-Петербурга от 09.04.2020 № 195
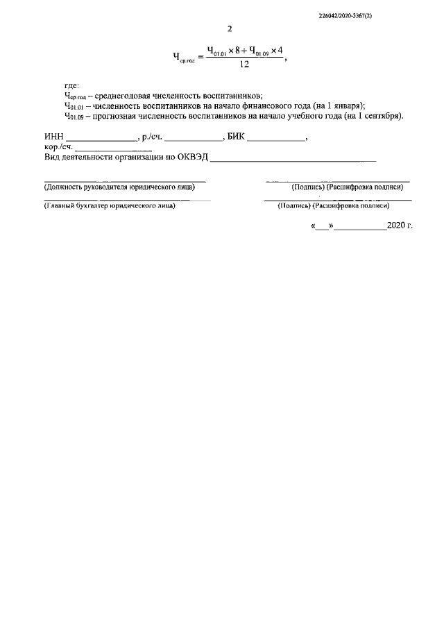
"О предоставлении в 2020 году субсидий в целях финансового обеспечения затрат для реализации основных общеобразовательных программ и дополнительных общеобразовательных программ частным образовательным организациям"
Номер опубликования: 7800202004160004
Дата опубликования: 16.04.2020
Страница №12 из 38:
Увеличить