Официальное опубликование правовых актов
ОФИЦИАЛЬНОЕ ОПУБЛИКОВАНИЕ
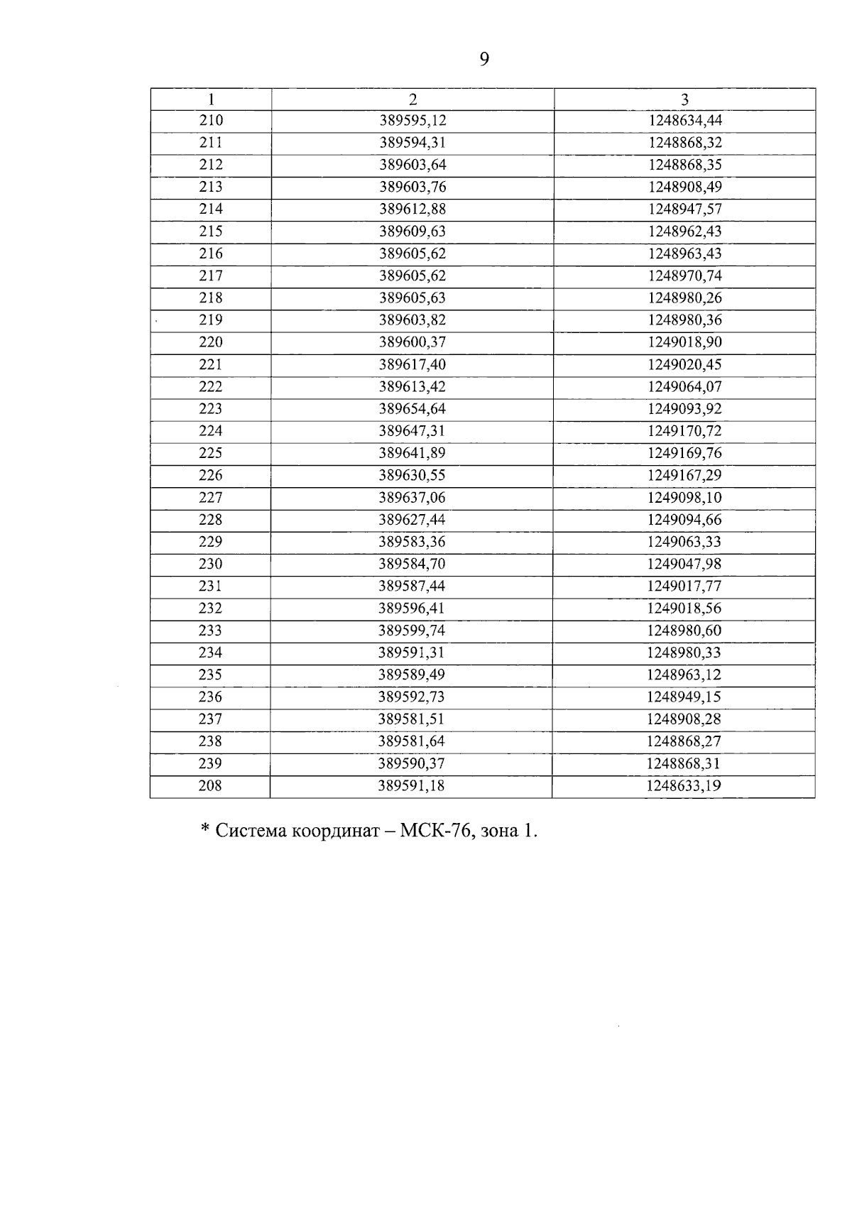
Постановление Правительства Ярославской области от 27.06.2025 № 644-п
"О выделении зон ограниченного хозяйственного использования, об утверждении Положения о государственном природном заказнике "Долина р. Юхоти", о признании утратившими силу постановлений Правительства Ярославской области от 17.03.2022 № 156-п, от 12.10.2022 № 878-п и о внесении изменений в постановления Правительства Ярославской области от 01.07.2010 № 460-п, от 17.10.2018 № 760-п"
Номер опубликования: 7600202507010001
Дата опубликования: 01.07.2025
Страница №70 из 174:
Увеличить