Официальное опубликование правовых актов
ОФИЦИАЛЬНОЕ ОПУБЛИКОВАНИЕ
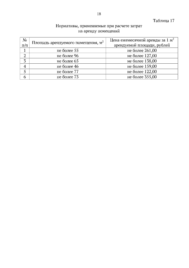
Приказ Департамента ЗАГС Томской области от 24.02.2021 № 2
"О внесении изменения в приказ Департамента ЗАГС Томской области от 24.06.2019 № 15 "Об утверждении нормативных затрат на обеспечение функций Департамента записи актов гражданского состояния Томской области"
Номер опубликования: 7001202102260004
Дата опубликования: 26.02.2021
Страница №18 из 43:
Увеличить