Официальное опубликование правовых актов
ОФИЦИАЛЬНОЕ ОПУБЛИКОВАНИЕ
Постановление Правительства Тверской области от 02.04.2026 № 206-пп
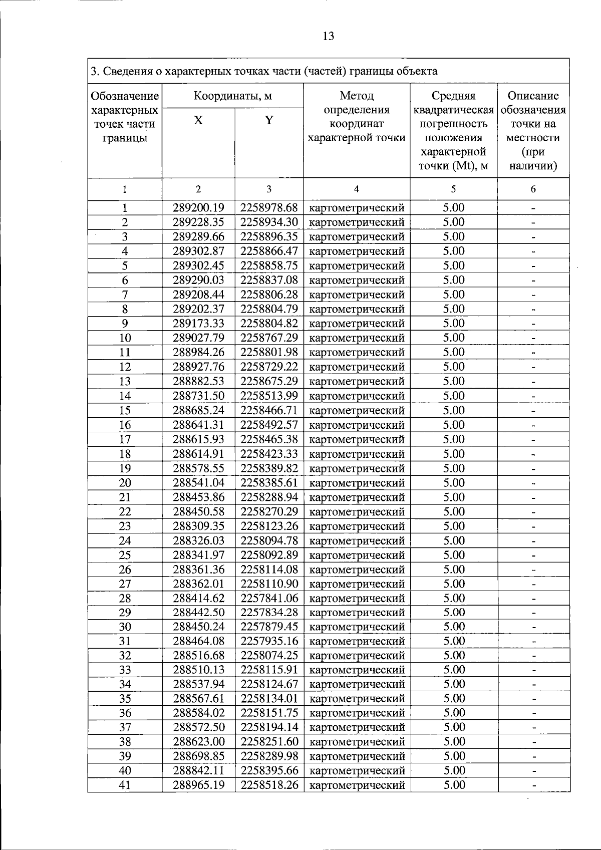
"Об особо охраняемой природной территории регионального значения – государственном природном заказнике "Дуденевский"
Номер опубликования: 6900202604030025
Дата опубликования: 03.04.2026
Страница №13 из 24:
Увеличить