Официальное опубликование правовых актов
ОФИЦИАЛЬНОЕ ОПУБЛИКОВАНИЕ
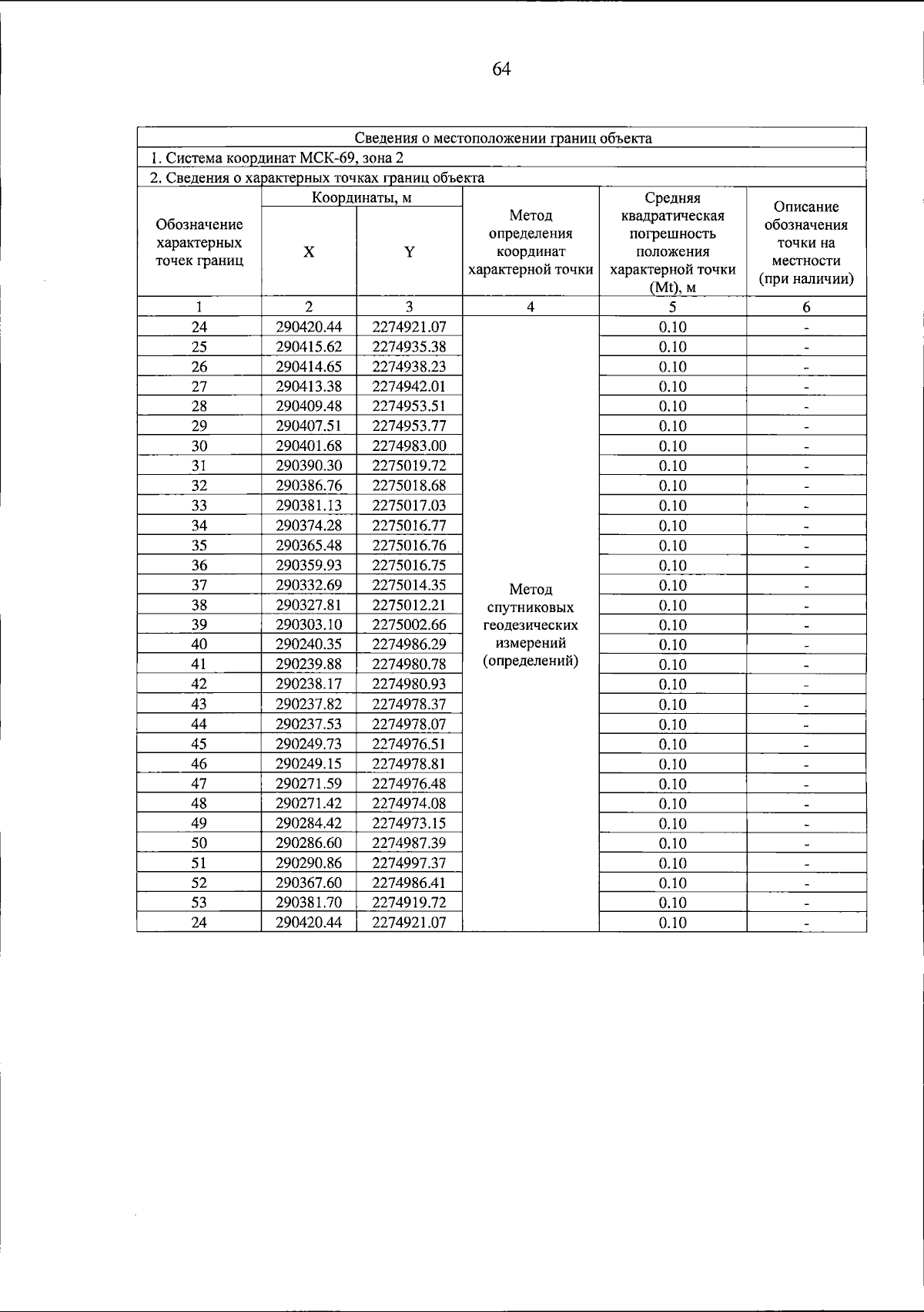
Постановление Правительства Тверской области от 02.04.2026 № 183-пп
"Об установлении зон охраны объекта культурного наследия регионального значения "Парковый ансамбль Тверского Загородного Архиерейского дома в Трехсвятском (Трехсвятского мужского монастыря) – резиденции архиепископов Тверских и Кашинских", XVIII – 1-я пол. XIX в.в., сер. XX в., режимов использования земель и требований к градостроительным регламентам в границах территории данных зон"
Номер опубликования: 6900202604030010
Дата опубликования: 03.04.2026
Страница №64 из 105:
Увеличить