Официальное опубликование правовых актов
ОФИЦИАЛЬНОЕ ОПУБЛИКОВАНИЕ
Постановление Правительства Тверской области от 03.10.2025 № 554-пп
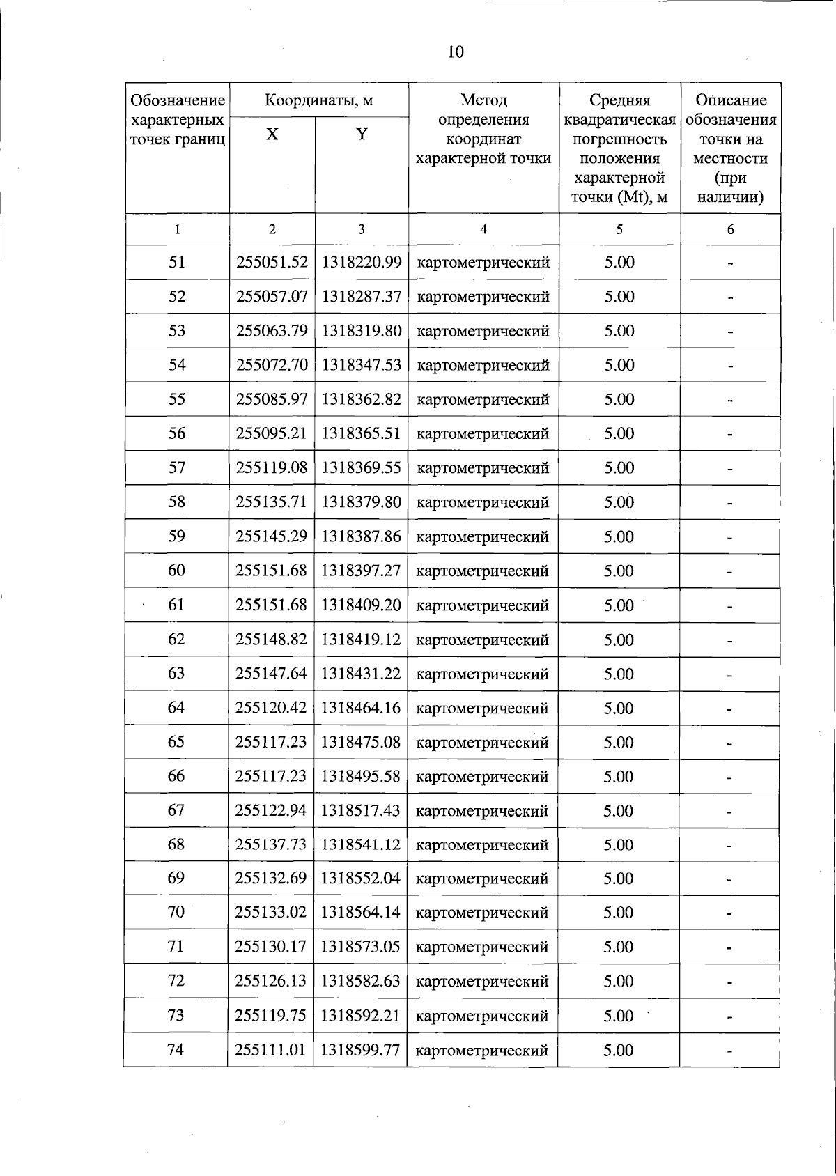
"Об особо охраняемой природной территории регионального значения – государственном природном заказнике "Болото Желомустово"
Номер опубликования: 6900202510080012
Дата опубликования: 08.10.2025
Страница №10 из 19:
Увеличить