Официальное опубликование правовых актов
ОФИЦИАЛЬНОЕ ОПУБЛИКОВАНИЕ
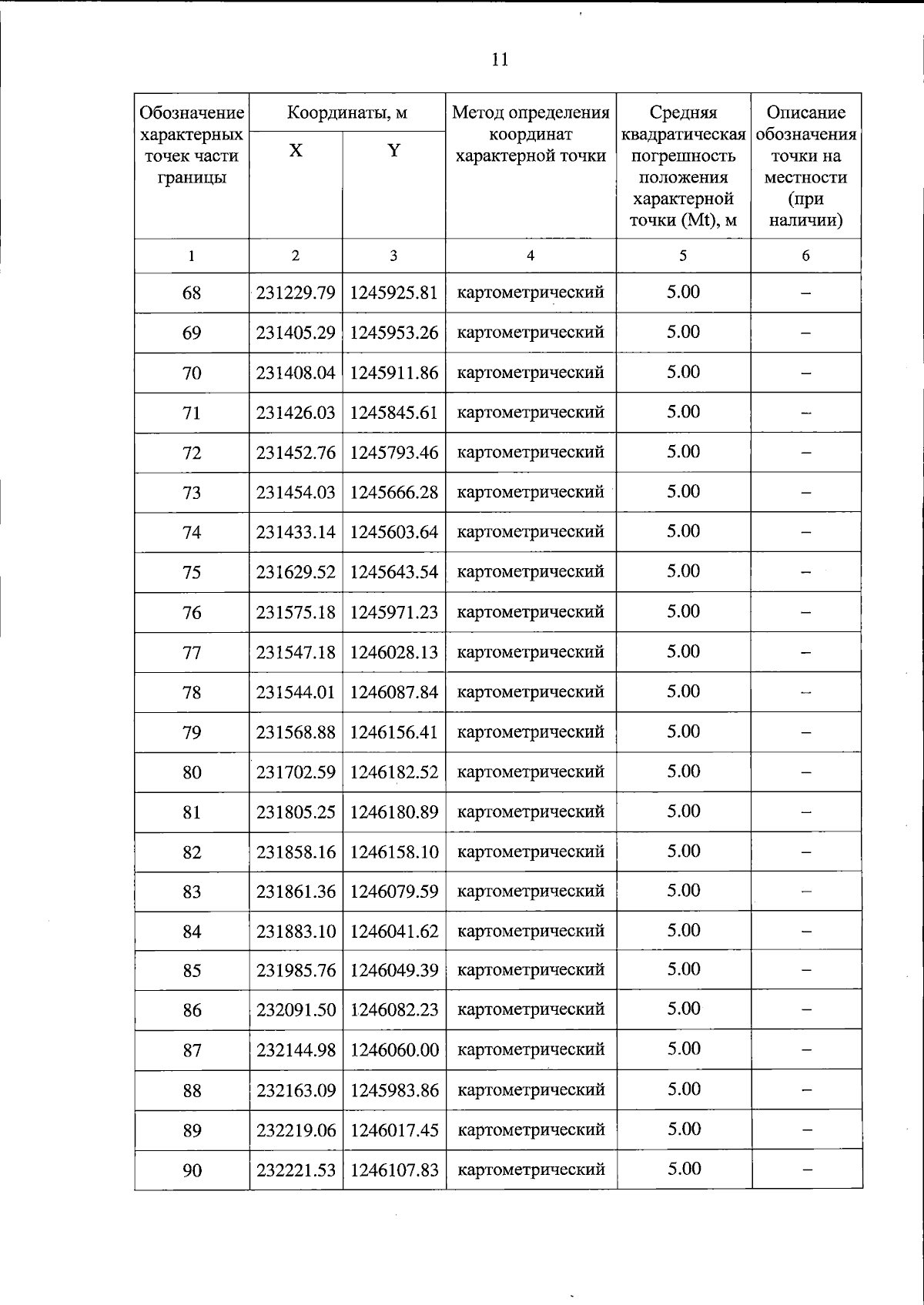
Постановление Правительства Тверской области от 03.10.2025 № 552-пп
"Об утверждении Положения об особо охраняемой природной территории регионального значения – государственном природном заказнике "Болото Подберезье"
Номер опубликования: 6900202510080011
Дата опубликования: 08.10.2025
Страница №11 из 15:
Увеличить