Официальное опубликование правовых актов
ОФИЦИАЛЬНОЕ ОПУБЛИКОВАНИЕ
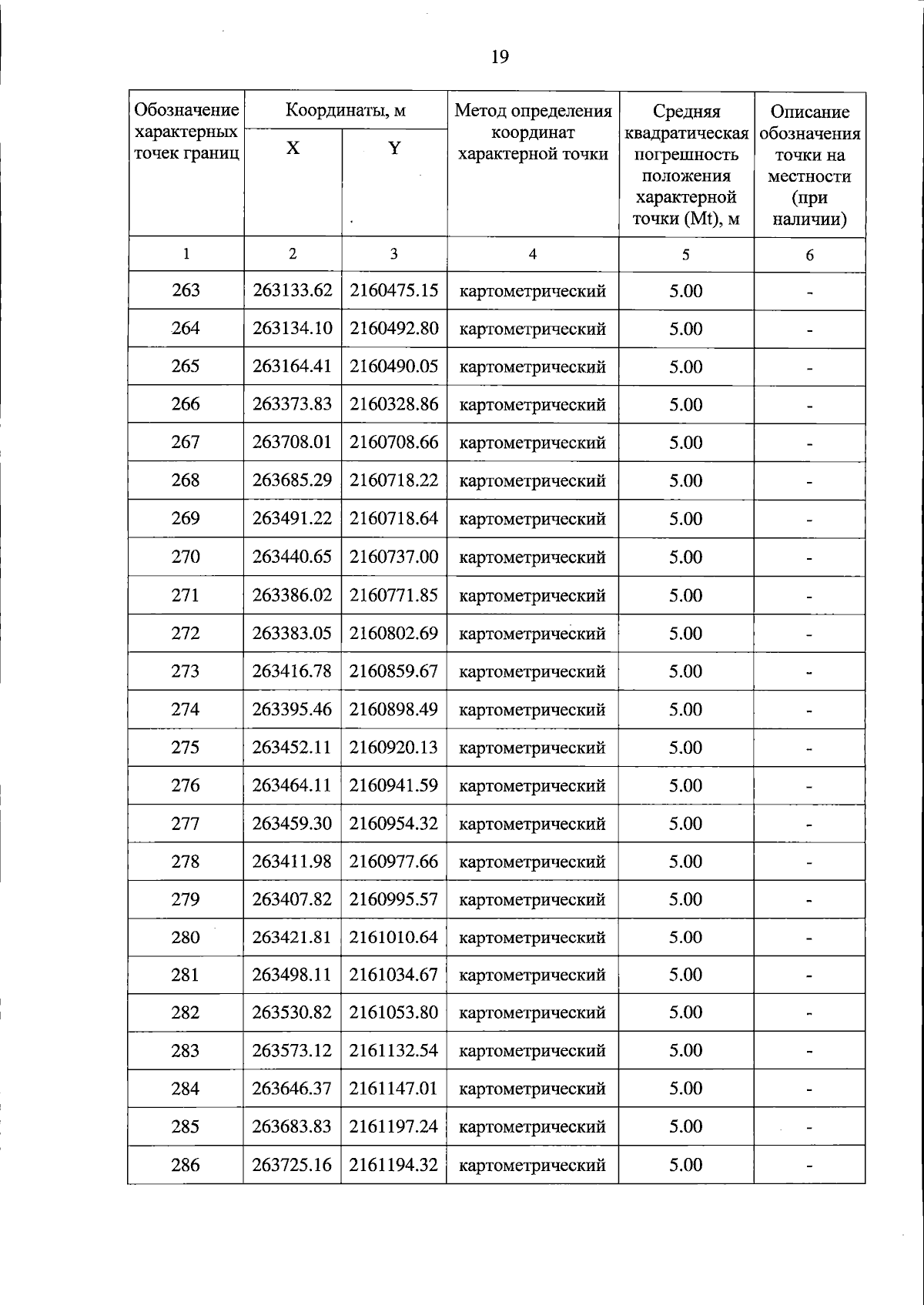
Постановление Правительства Тверской области от 13.01.2025 № 3-пп
"Об особо охраняемой природной территории регионального значения – государственном природном заказнике "Водоохранное болото у деревни Сморщево, междуречье рек Марайка и река Малая Коша"
Номер опубликования: 6900202501140005
Дата опубликования: 14.01.2025
Страница №19 из 29:
Увеличить