Официальное опубликование правовых актов
ОФИЦИАЛЬНОЕ ОПУБЛИКОВАНИЕ
Приказ Департамента по государственной охране объектов культурного наследия Тамбовской области от 28.01.2026 № 22
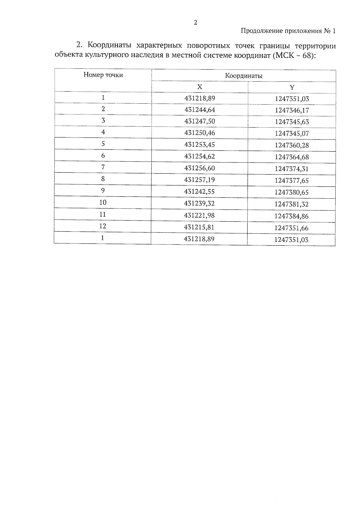
"О включении выявленного объекта культурного наследия "Дом и флигель" (Тамбовская область, г. Тамбов, ул. Октябрьская, д. 41) в единый государственный реестр объектов культурного наследия (памятников истории и культуры) народов Российской Федерации в качестве объекта культурного наследия регионального значения, утверждении границ территории объекта культурного наследия и режима ее использования"
(Зарегистрирован 28.01.2026 № 22)
Номер опубликования: 6801202601290001
Дата опубликования: 29.01.2026
Страница №4 из 5:
Увеличить