Официальное опубликование правовых актов
ОФИЦИАЛЬНОЕ ОПУБЛИКОВАНИЕ
Приказ Комитета культурного наследия Саратовской области от 25.12.2025 № 01-04/372
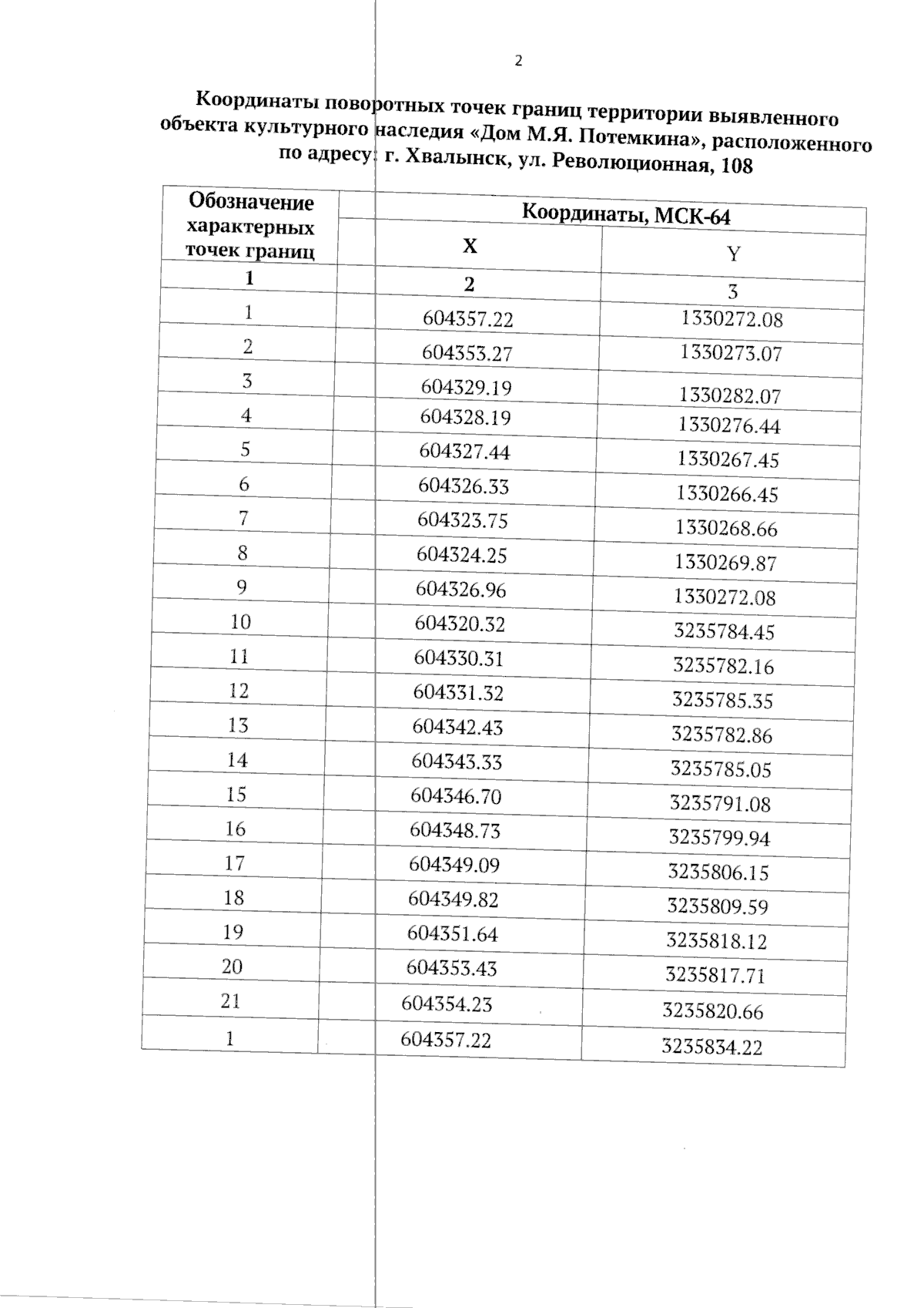
"Об утверждении границ территории и требований к осуществлению деятельности в границах территории выявленного объекта культурного наследия "Дом М. Я. Потемкина", расположенного по адресу: г. Хвалынск, ул. Революционная, 108"
(Зарегистрирован 29.12.2025 № 25-2025-1-2386)
Номер опубликования: 6401202601050018
Дата опубликования: 05.01.2026
Страница №4 из 5:
Увеличить