Официальное опубликование правовых актов
ОФИЦИАЛЬНОЕ ОПУБЛИКОВАНИЕ
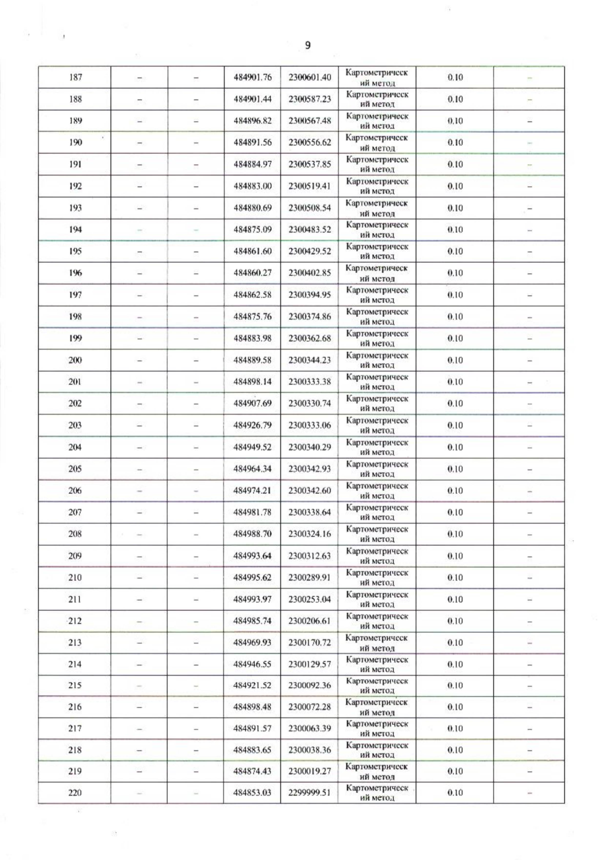
Приказ Министерства градостроительной политики Самарской области от 18.11.2025 № 515-п
"О внесении изменений в Правила землепользования и застройки сельского поселения Камышла муниципального района Камышлинский Самарской области, утвержденные решением Собрания представителей сельского поселения Камышла муниципального района Камышлинский Самарской области от 25.12.2013 № 26"
(Зарегистрирован 18.11.2025 № МГП-25-515)
Номер опубликования: 6301202511190005
Дата опубликования: 19.11.2025
Страница №23 из 139:
Увеличить