Официальное опубликование правовых актов
ОФИЦИАЛЬНОЕ ОПУБЛИКОВАНИЕ
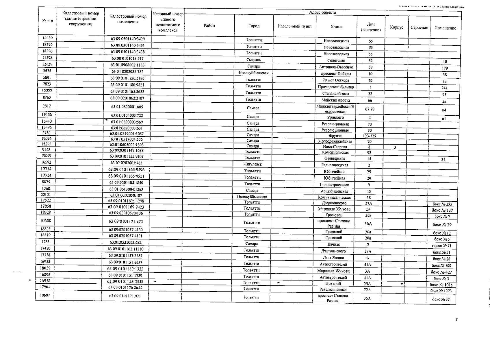
Приказ Министерства имущественных отношений Самарской области от 09.06.2025 № 1110
"О внесении изменений в приказ министерства имущественных отношений Самарской области от 03.11.2023 № 2365 "Об определении Перечня объектов недвижимого имущества, находящихся на территории Самарской области, в отношении которых налоговая база определяется как их кадастровая стоимость для целей налогообложения, на 2024 год"
(Зарегистрирован 09.06.2025 № МИО-25/1110)
Номер опубликования: 6301202506090001
Дата опубликования: 09.06.2025
Страница №9 из 10:
Увеличить