Официальное опубликование правовых актов
ОФИЦИАЛЬНОЕ ОПУБЛИКОВАНИЕ
Постановление Правительства Самарской области от 30.12.2025 № 959
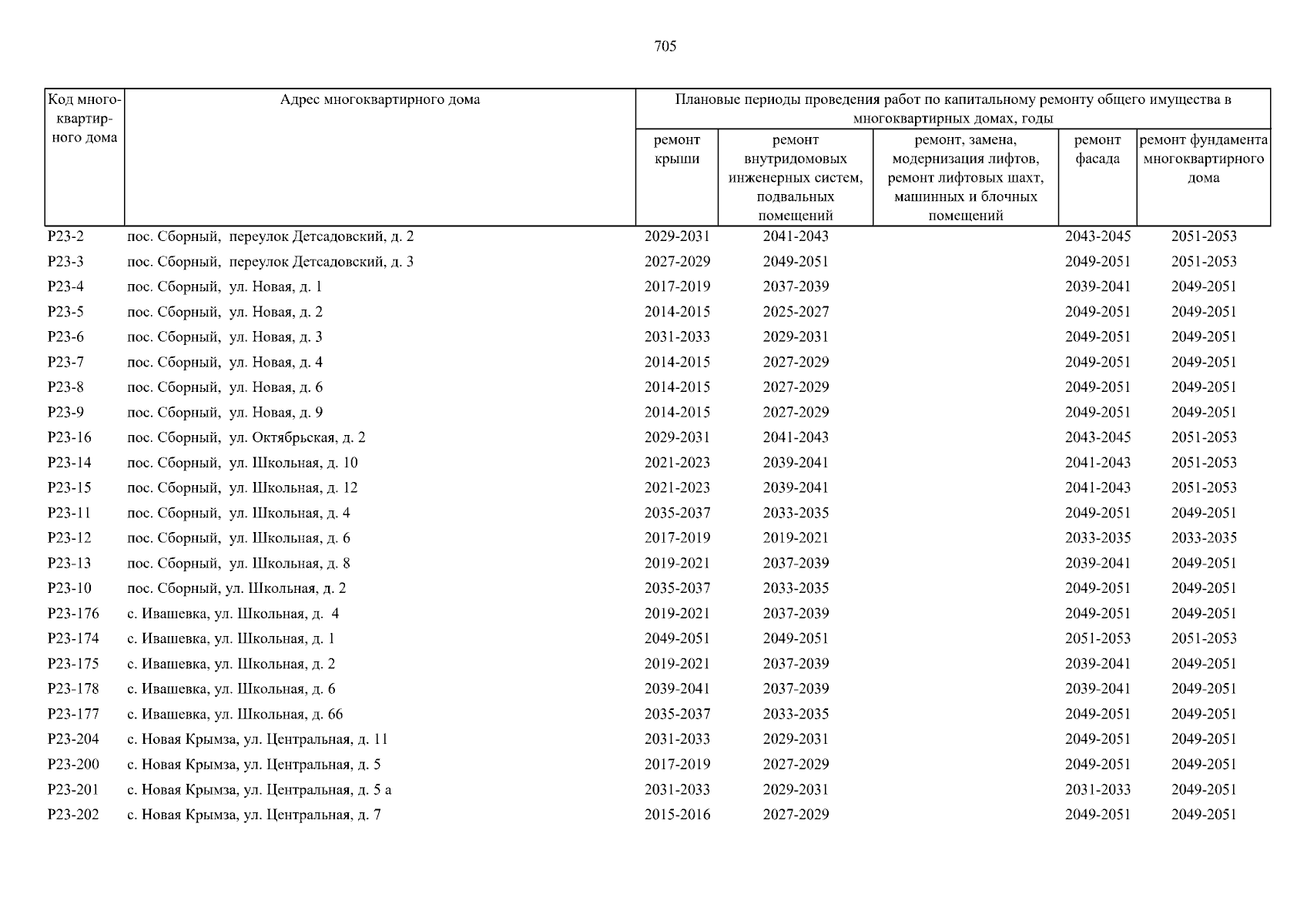
"О внесении изменений в постановление Правительства Самарской области от 29.11.2013 № 707 "Об утверждении региональной программы капитального ремонта общего имущества в многоквартирных домах, расположенных на территории Самарской области"
Номер опубликования: 6300202512300025
Дата опубликования: 30.12.2025
Страница №707 из 721:
Увеличить