Официальное опубликование правовых актов
ОФИЦИАЛЬНОЕ ОПУБЛИКОВАНИЕ
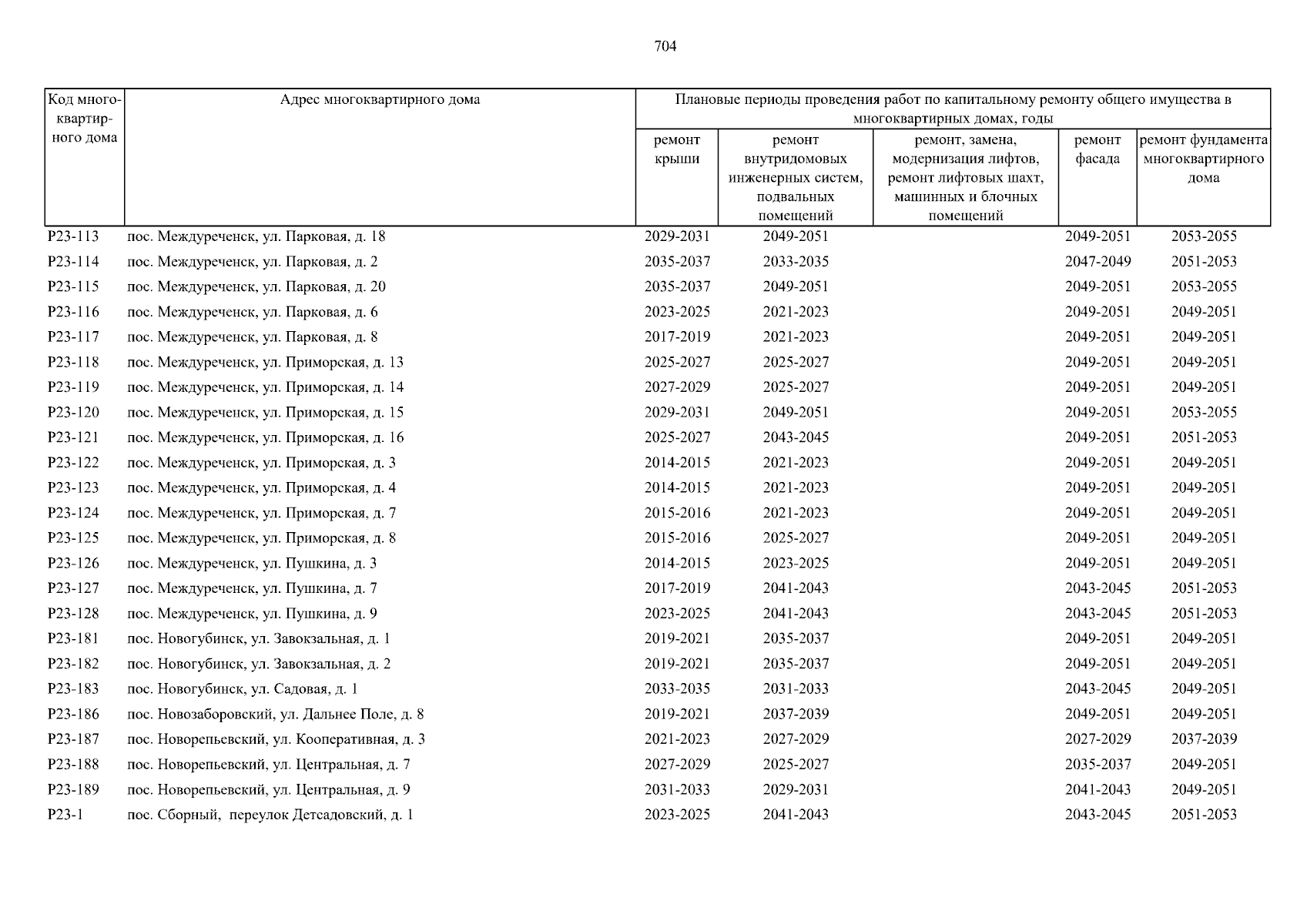
Постановление Правительства Самарской области от 30.12.2025 № 959
"О внесении изменений в постановление Правительства Самарской области от 29.11.2013 № 707 "Об утверждении региональной программы капитального ремонта общего имущества в многоквартирных домах, расположенных на территории Самарской области"
Номер опубликования: 6300202512300025
Дата опубликования: 30.12.2025
Страница №706 из 721:
Увеличить