Официальное опубликование правовых актов
ОФИЦИАЛЬНОЕ ОПУБЛИКОВАНИЕ
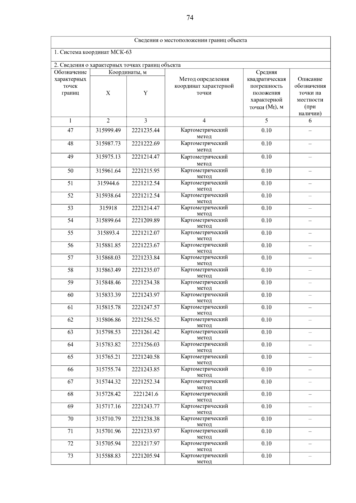
Постановление Правительства Самарской области от 15.09.2025 № 546
"О внесении изменений в Генеральный план сельского поселения Летниково муниципального района Алексеевский Самарской области"
Номер опубликования: 6300202509160010
Дата опубликования: 16.09.2025
Страница №97 из 132:
Увеличить