Официальное опубликование правовых актов
ОФИЦИАЛЬНОЕ ОПУБЛИКОВАНИЕ
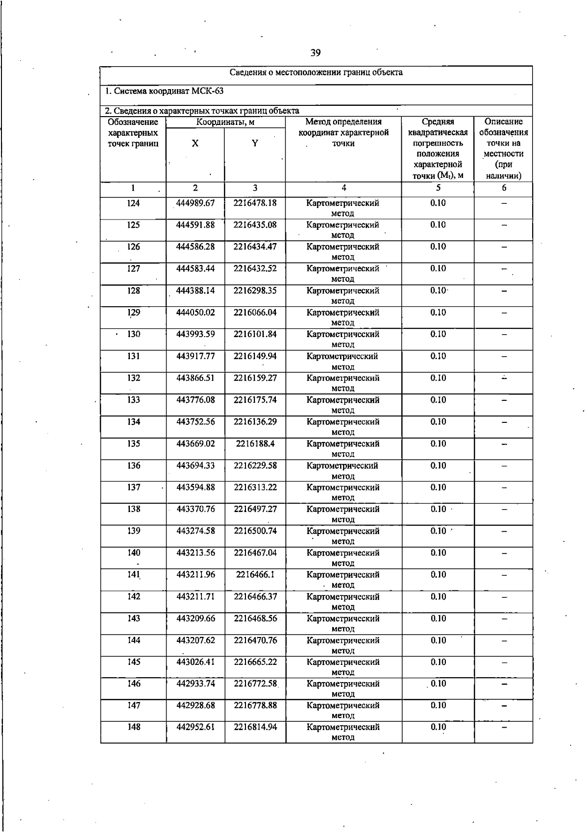
Постановление Правительства Самарской области от 13.08.2025 № 455
"О внесении изменений в Генеральный план сельского поселения Черновка муниципального района Сергиевский Самарской области"
Номер опубликования: 6300202508150021
Дата опубликования: 15.08.2025
Страница №94 из 112:
Увеличить