Официальное опубликование правовых актов
ОФИЦИАЛЬНОЕ ОПУБЛИКОВАНИЕ
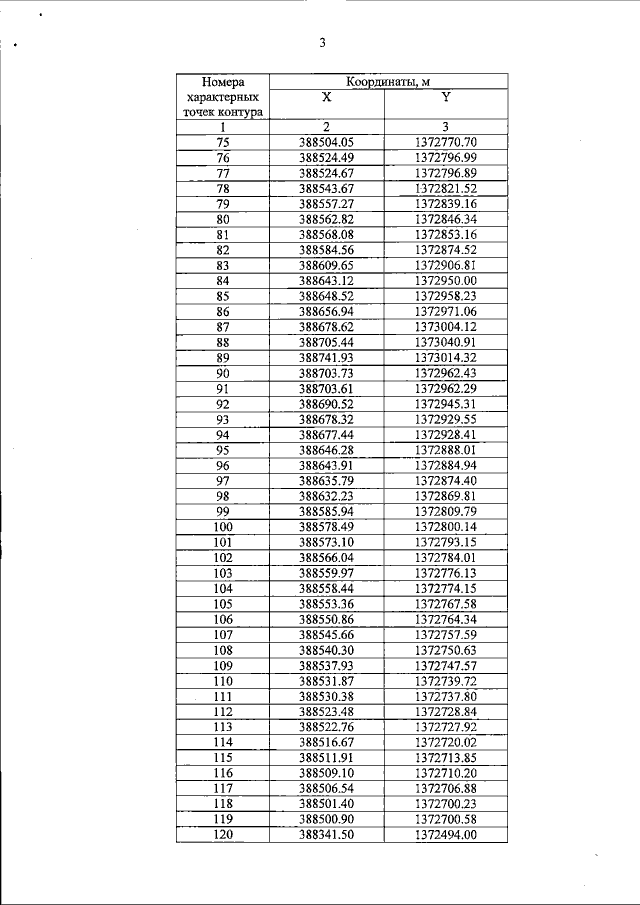
Распоряжение Правительства Самарской области от 22.02.2022 № 49-р
"О резервировании земель для государственных нужд Самарской области в целях строительства объекта регионального значения "Метрополитен (1 очередь строительства) по адресу: г.о. Самара, г. Самара, от станции "Алабинская" до станции "Самарская"
Номер опубликования: 6300202202250005
Дата опубликования: 25.02.2022
Страница №9 из 11:
Увеличить