Официальное опубликование правовых актов
ОФИЦИАЛЬНОЕ ОПУБЛИКОВАНИЕ
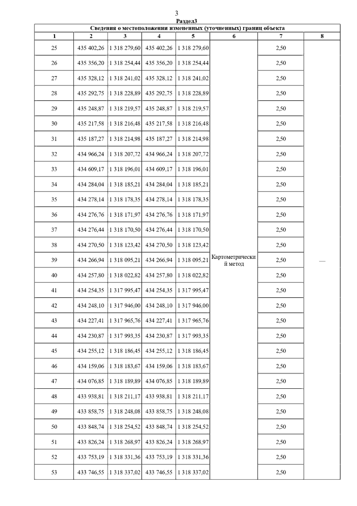
Постановление Главного управления архитектуры и градостроительства Рязанской области от 16.12.2025 № 1158-п
"О внесении изменений в правила землепользования и застройки муниципального образования - Екимовское сельское поселение Рязанского муниципального района Рязанской области"
(Зарегистрирован 18.12.2025 № 1808)
Номер опубликования: 6201202512220007
Дата опубликования: 22.12.2025
Страница №7 из 18:
Увеличить