Официальное опубликование правовых актов
ОФИЦИАЛЬНОЕ ОПУБЛИКОВАНИЕ
Постановление Главного управления архитектуры и градостроительства Рязанской области от 15.09.2025 № 787-п
"О внесении изменения в правила землепользования и застройки муниципального образования - Ибредское сельское поселение Шиловского муниципального района Рязанской области"
(Зарегистрирован 16.09.2025 № 1139)
Номер опубликования: 6201202509190009
Дата опубликования: 19.09.2025
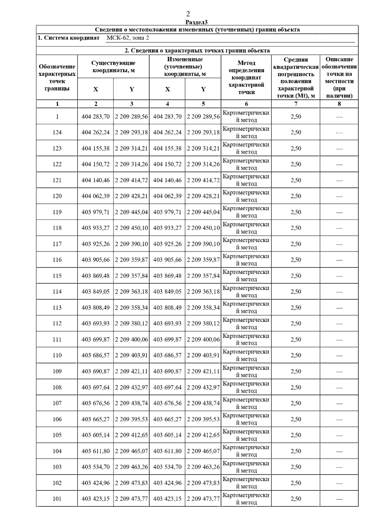
Страница №4 из 9:
Увеличить