Официальное опубликование правовых актов
ОФИЦИАЛЬНОЕ ОПУБЛИКОВАНИЕ
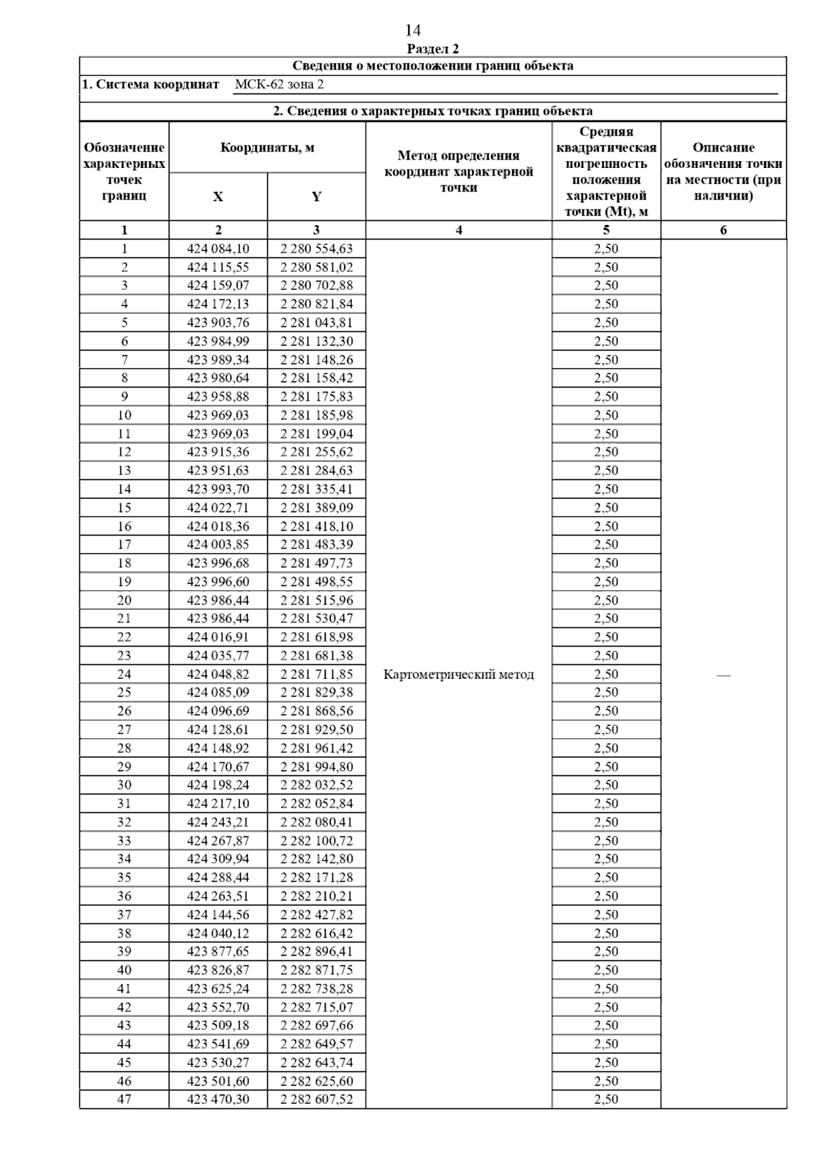
Постановление Главного управления архитектуры и градостроительства Рязанской области от 30.08.2024 № 452-п
"Об утверждении генерального плана муниципального образования – Сасовский муниципальный округ Рязанской области применительно к территории Глядковского сельского округа Сасовского района Рязанской области"
(Зарегистрирован 02.09.2024 № 824)
Номер опубликования: 6201202409050009
Дата опубликования: 05.09.2024
Страница №26 из 53:
Увеличить