Официальное опубликование правовых актов
ОФИЦИАЛЬНОЕ ОПУБЛИКОВАНИЕ
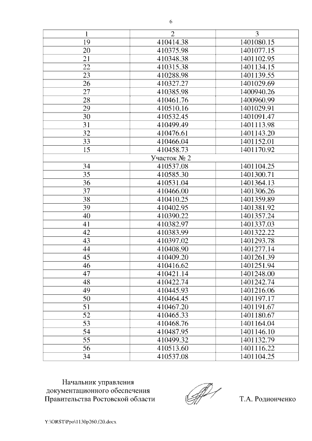
Постановление Правительства Ростовской области от 30.11.2020 № 260
"Об установлении зон охраны объекта культурного наследия регионального значения "Церковь хутора Государева" и утверждении требований к градостроительным регламентам в границах территорий данных зон"
Номер опубликования: 6100202012030019
Дата опубликования: 03.12.2020
Страница №6 из 10:
Увеличить