Официальное опубликование правовых актов
ОФИЦИАЛЬНОЕ ОПУБЛИКОВАНИЕ
Постановление Правительства Ростовской области от 30.11.2020 № 258
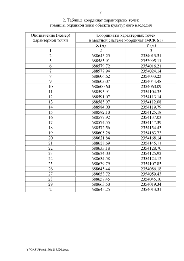
"Об установлении зон охраны объекта культурного наследия федерального значения "Усадьба, где жил и работал в 1949 – 1984 годах М.А. Шолохов" и утверждении требований к градостроительным регламентам в границах территорий данных зон"
Номер опубликования: 6100202012030006
Дата опубликования: 03.12.2020
Страница №5 из 16:
Увеличить