Официальное опубликование правовых актов
ОФИЦИАЛЬНОЕ ОПУБЛИКОВАНИЕ
Постановление Правительства Ростовской области от 27.04.2020 № 416
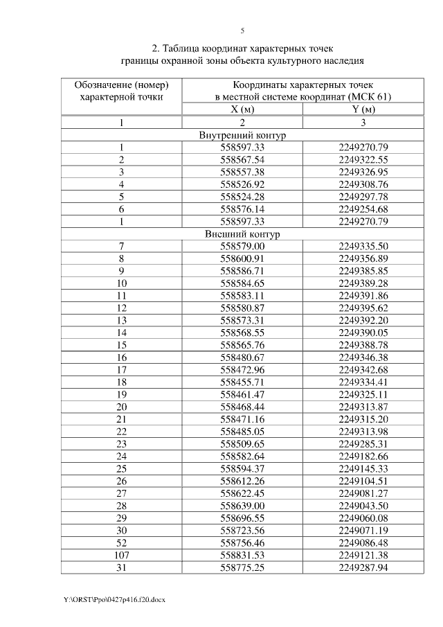
"Об установлении зон охраны объекта культурного наследия регионального значения "Церковь Воздвижения Креста" и утверждении требований к градостроительным регламентам в границах территорий данных зон"
Номер опубликования: 6100202004290036
Дата опубликования: 29.04.2020
Страница №5 из 12:
Увеличить