Официальное опубликование правовых актов
ОФИЦИАЛЬНОЕ ОПУБЛИКОВАНИЕ
Постановление Правительства Ростовской области от 27.04.2020 № 413
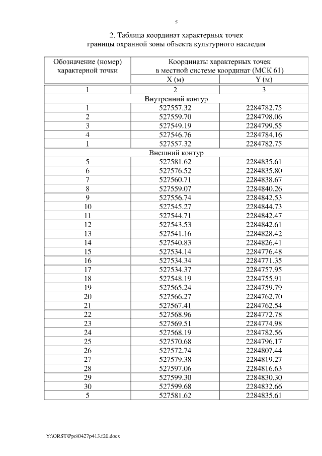
"Об установлении зон охраны объекта культурного наследия регионального значения "Лавка купца Севрюгова" и утверждении требований к градостроительным регламентам в границах территорий данных зон"
Номер опубликования: 6100202004290035
Дата опубликования: 29.04.2020
Страница №5 из 10:
Увеличить