Официальное опубликование правовых актов
ОФИЦИАЛЬНОЕ ОПУБЛИКОВАНИЕ
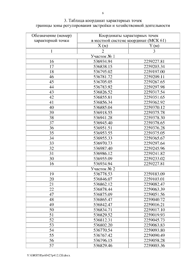
Постановление Правительства Ростовской области от 27.04.2020 № 412
"Об установлении зон охраны объекта культурного наследия регионального значения "Никольская церковь" и утверждении требований к градостроительным регламентам в границах территорий данных зон"
Номер опубликования: 6100202004290033
Дата опубликования: 29.04.2020
Страница №6 из 13:
Увеличить