Официальное опубликование правовых актов
ОФИЦИАЛЬНОЕ ОПУБЛИКОВАНИЕ
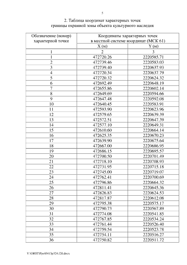
Постановление Правительства Ростовской области от 13.04.2020 № 324
"Об установлении зон охраны объекта культурного наследия регионального значения "Церковь Успения Богородицы" и утверждении требований к градостроительным регламентам в границах территорий данных зон"
Номер опубликования: 6100202004160007
Дата опубликования: 16.04.2020
Страница №5 из 10:
Увеличить