Официальное опубликование правовых актов
ОФИЦИАЛЬНОЕ ОПУБЛИКОВАНИЕ
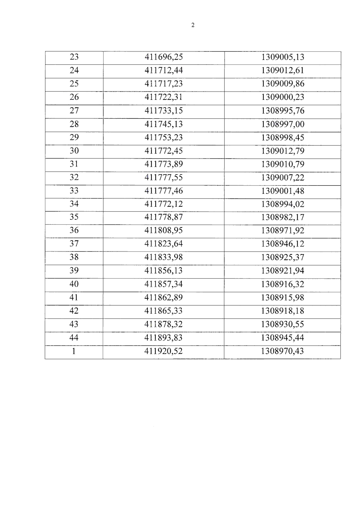
Приказ Министерства культурного наследия Псковской области от 13.04.2026 № 203-ОД
"Об утверждении границ территории объекта культурного наследия федерального значения "Лестницы", XVI в., расположенного по адресу: Псковская область, Пушкиногорский район, городское поселение "Пушкиногорье", р.п. Пушкинские Горы, ул. Пушкинская, 1"
(Зарегистрирован 13.04.2026 № 3035)
Номер опубликования: 6001202604220005
Дата опубликования: 22.04.2026
Страница №8 из 11:
Увеличить