Официальное опубликование правовых актов
ОФИЦИАЛЬНОЕ ОПУБЛИКОВАНИЕ
Приказ Министерства градостроительства и архитектуры Пензенской области от 29.12.2025 № 23-1047
"О внесении изменений в Генеральный план муниципального образования Вазерский сельсовет Бессоновского района Пензенской области, утвержденный решением Собрания представителей Бессоновского района Пензенской области третьего созыва от 21.10.2015 № 431-58/3"
(Зарегистрирован 29.12.2025 № 23-1047)
Номер опубликования: 5801202512300001
Дата опубликования: 30.12.2025
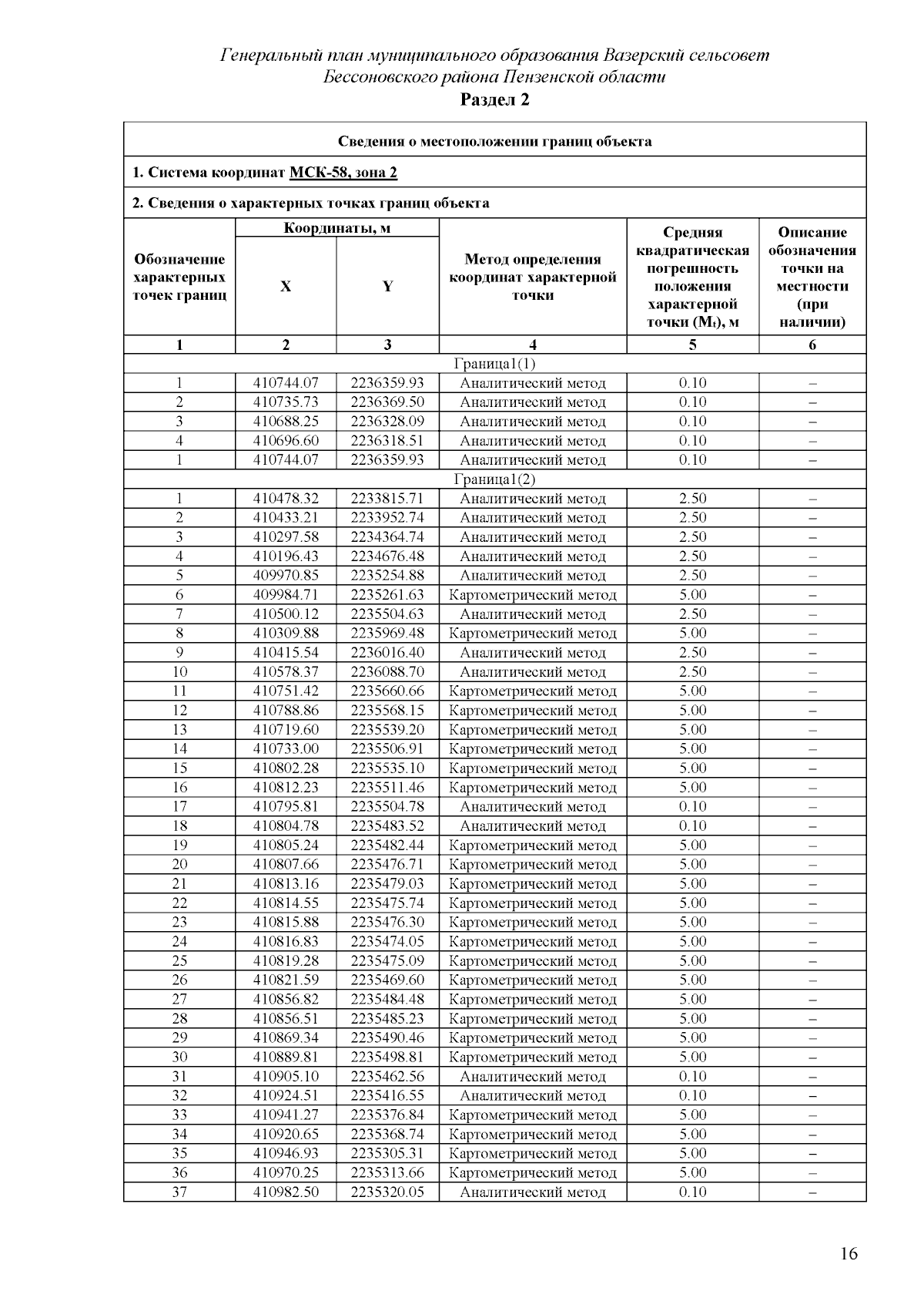
Страница №16 из 21:
Увеличить