Официальное опубликование правовых актов
ОФИЦИАЛЬНОЕ ОПУБЛИКОВАНИЕ
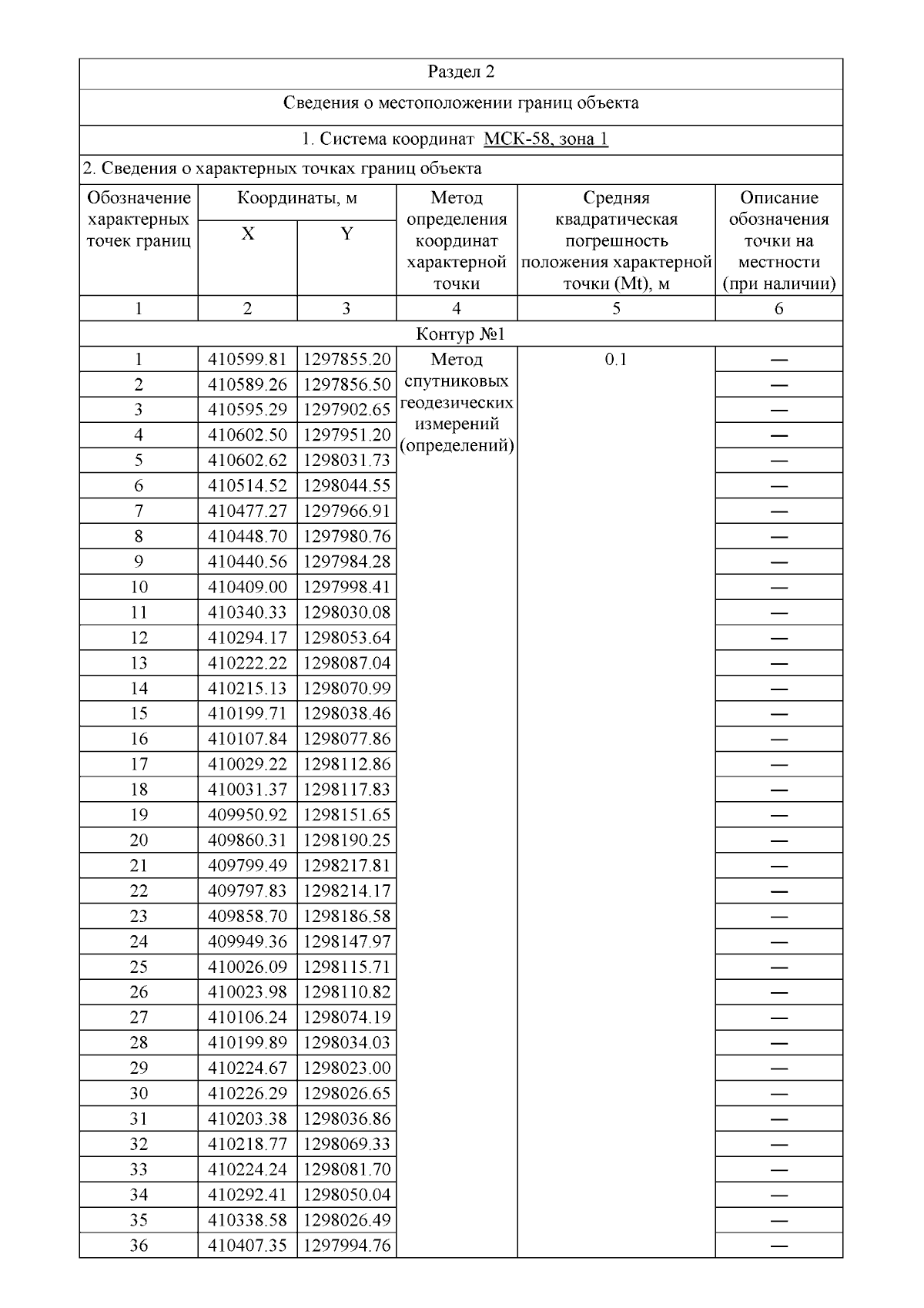
Приказ Министерства градостроительства и архитектуры Пензенской области от 24.12.2025 № 23-1010
"Об утверждении границ охранной зоны существующего газопровода, протяженностью 4549 м, расположенного по адресу: Пензенская область, р-н Пачелмский, с. Татаро-Никольское, и наложении ограничений (обременений) на входящие в нее земельные участки"
(Зарегистрирован 24.12.2025 № 23-1010)
Номер опубликования: 5801202512260026
Дата опубликования: 26.12.2025
Страница №5 из 8:
Увеличить