Официальное опубликование правовых актов
ОФИЦИАЛЬНОЕ ОПУБЛИКОВАНИЕ
Приказ Министерства градостроительства и архитектуры Пензенской области от 25.09.2025 № 23-602
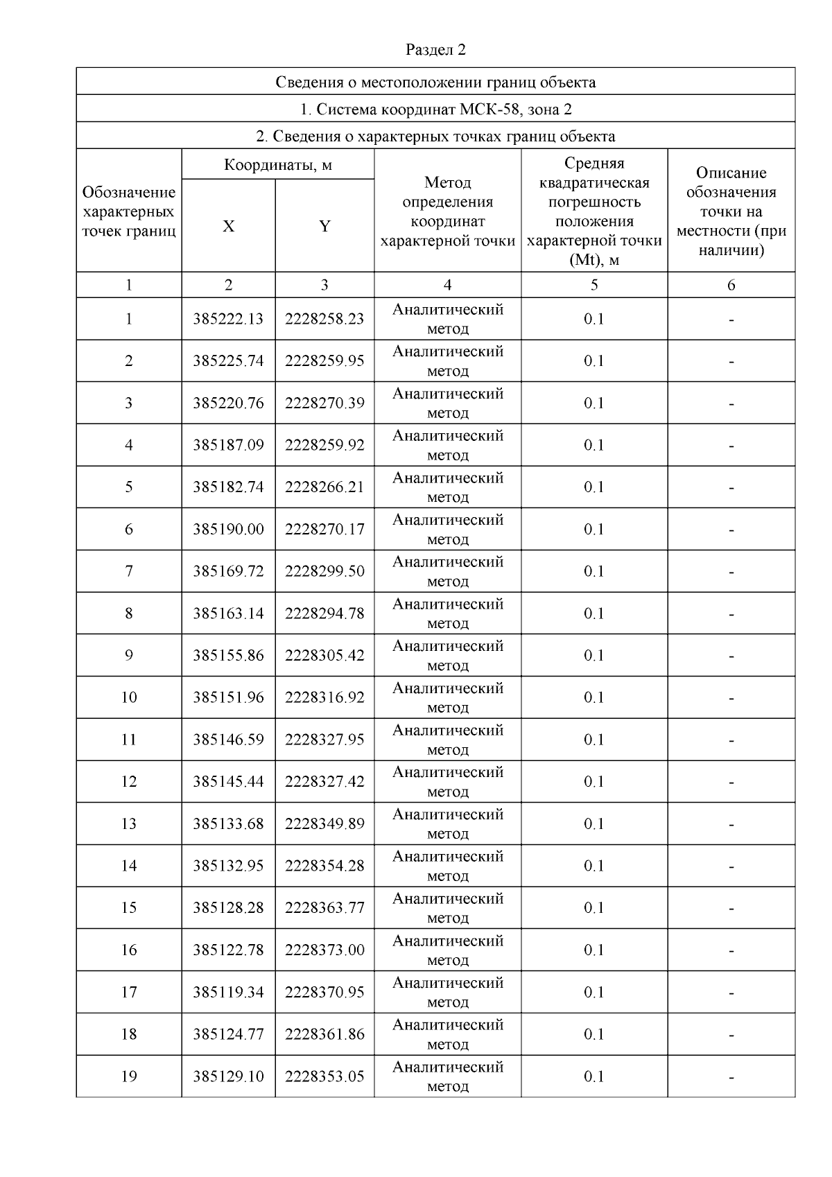
"О признании утратившим силу приказа Министерства жилищно-коммунального хозяйства Пензенской области от 22.12.2015 № 1153/ОД "Об утверждении границ охранных зон существующего газопровода низкого давления, протяженностью 357,8 м, расположенного по адресу: Пензенская область, г. Пенза, и наложении ограничений (обременений) на входящие в них земельные участки" и об утверждении границ охранной зоны существующего газопровода, протяженностью 378 м, расположенного по адресу: Пензенская область, г. Пенза, ул. Загоскина, д. б/н, и наложении ограничений (обременений) на входящие в нее земельные участки"
(Зарегистрирован 25.09.2025 № 23-602)
Номер опубликования: 5801202510010009
Дата опубликования: 01.10.2025
Страница №5 из 8:
Увеличить