Постановление Правительства Орловской области от 27.02.2025 № 114
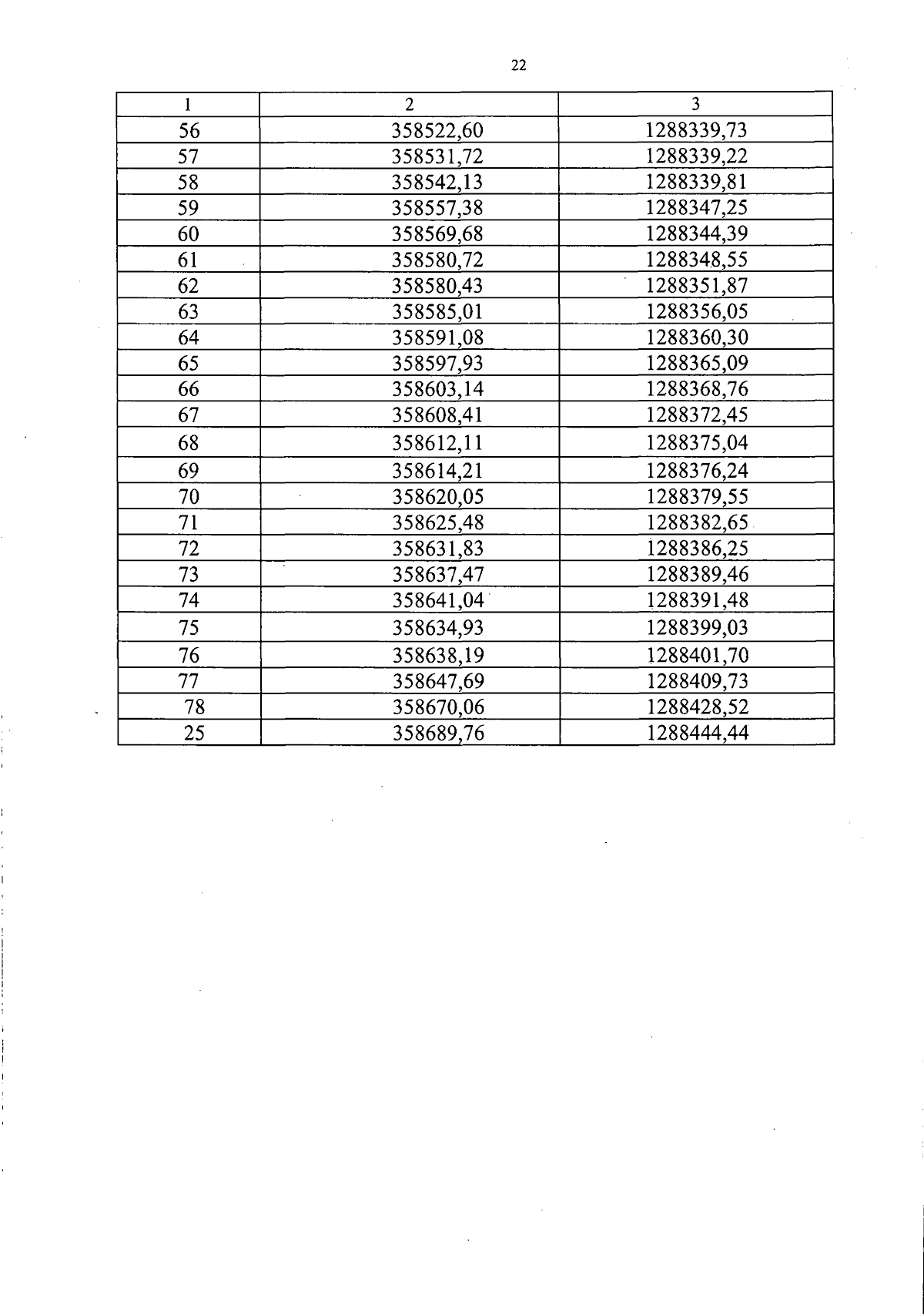
"Об установлении объединенной зоны охраны объекта культурного наследия федерального историко-культурного значения "Дом, в котором в 1831–1839 гг. жил писатель Лесков Николай Семенович", 1831–1839 гг., расположенного по адресу: Орловская область, г. Орёл, ул. Октябрьская, д. 9, и объектов культурного наследия регионального историко-культурного значения: "Дом жилой", XIX в., расположенного по адресу: Орловская область, г. Орёл, ул. Тургенева, д. 28, "Дом жилой", XIX в., расположенного по адресу: Орловская область, г. Орёл, ул. Тургенева, д. 24, "Дом, где была провозглашена Советская власть в городе Орле (25 ноября) 8 декабря 1917 года", 1917 г., расположенного по адресу: Орловская область, г. Орёл, ул. Октябрьская, д. 12, "Дом жилой", XIX в., расположенного по адресу: Орловская область, г. Орёл, ул. Тургенева, д. 19, "Здание административное", 1930 г., расположенного по адресу: Орловская область, г. Орёл, ул. Тургенева, д. 15, "Здание Дома политпросвещения Обкома КПСС", 1959 г., расположенного по адресу: Орловская область, г. Орёл, ул. Октябрьская, д. 29, "Дом жилой", XIX в., расположенного по адресу: Орловская область, г. Орёл, ул. Октябрьская, д. 16–18, "Усадьба Клейна А. А.", 1855–1856 гг., расположенного по адресу: Орловская область, г. Орёл, ул. Октябрьская, д. 11, 13, "Дом жилой", XIX в., расположенного по адресу: Орловская область, г. Орёл, ул. Октябрьская, д. 6"
"Об установлении объединенной зоны охраны объекта культурного наследия федерального историко-культурного значения "Дом, в котором в 1831–1839 гг. жил писатель Лесков Николай Семенович", 1831–1839 гг., расположенного по адресу: Орловская область, г. Орёл, ул. Октябрьская, д. 9, и объектов культурного наследия регионального историко-культурного значения: "Дом жилой", XIX в., расположенного по адресу: Орловская область, г. Орёл, ул. Тургенева, д. 28, "Дом жилой", XIX в., расположенного по адресу: Орловская область, г. Орёл, ул. Тургенева, д. 24, "Дом, где была провозглашена Советская власть в городе Орле (25 ноября) 8 декабря 1917 года", 1917 г., расположенного по адресу: Орловская область, г. Орёл, ул. Октябрьская, д. 12, "Дом жилой", XIX в., расположенного по адресу: Орловская область, г. Орёл, ул. Тургенева, д. 19, "Здание административное", 1930 г., расположенного по адресу: Орловская область, г. Орёл, ул. Тургенева, д. 15, "Здание Дома политпросвещения Обкома КПСС", 1959 г., расположенного по адресу: Орловская область, г. Орёл, ул. Октябрьская, д. 29, "Дом жилой", XIX в., расположенного по адресу: Орловская область, г. Орёл, ул. Октябрьская, д. 16–18, "Усадьба Клейна А. А.", 1855–1856 гг., расположенного по адресу: Орловская область, г. Орёл, ул. Октябрьская, д. 11, 13, "Дом жилой", XIX в., расположенного по адресу: Орловская область, г. Орёл, ул. Октябрьская, д. 6"
Номер опубликования: 5700202502280001
Дата опубликования:
28.02.2025
