Официальное опубликование правовых актов
ОФИЦИАЛЬНОЕ ОПУБЛИКОВАНИЕ
Указ Губернатора Орловской области от 28.01.2025 № 43
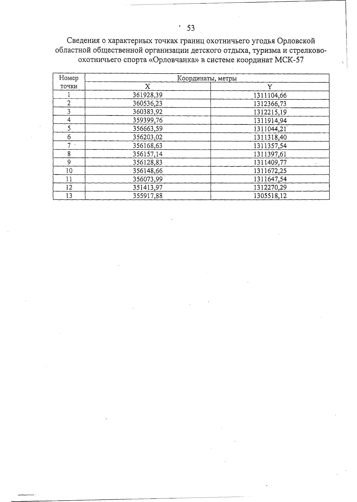
"О внесении изменений в указ Губернатора Орловской области от 22 апреля 2022 года № 195 "Об утверждении схемы размещения, использования и охраны охотничьих угодий на территории Орловской области"
Номер опубликования: 5700202501300001
Дата опубликования: 30.01.2025
Страница №172 из 459:
Увеличить