Официальное опубликование правовых актов
ОФИЦИАЛЬНОЕ ОПУБЛИКОВАНИЕ
Распоряжение Министерства архитектуры и пространственно-градостроительного развития Оренбургской области от 02.04.2026 № 17-р
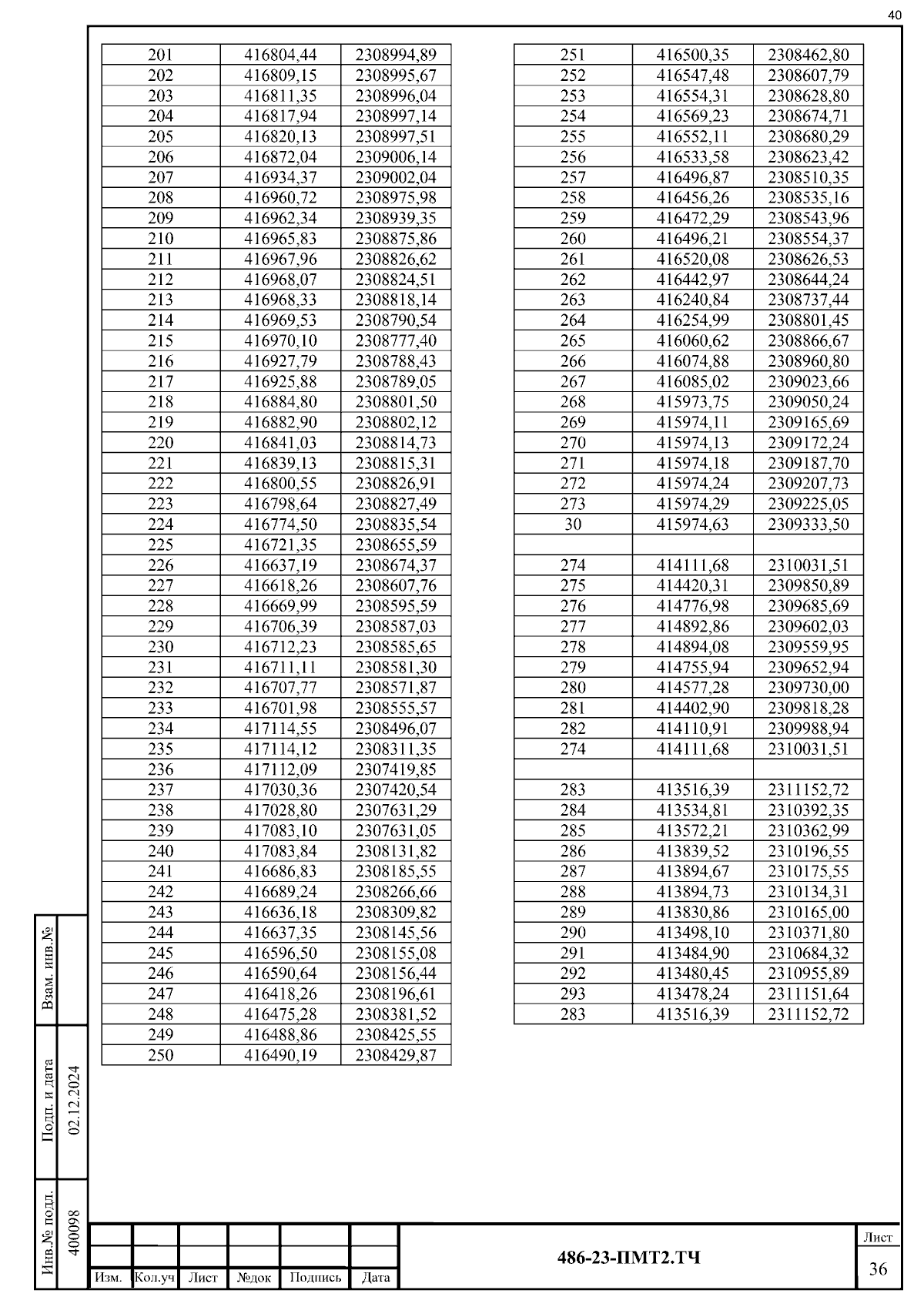
"Об утверждении документации по планировке территории для размещения линейного объекта: "Комплекс производственно-бытовых блоков на ЦДНГиК на Оренбургском НГКМ"
(Зарегистрирован 02.04.2026 № 0035/2026/02)
Номер опубликования: 5601202604070001
Дата опубликования: 07.04.2026
Страница №79 из 82:
Увеличить