Официальное опубликование правовых актов
ОФИЦИАЛЬНОЕ ОПУБЛИКОВАНИЕ
Приказ Министерства строительства Новосибирской области от 20.02.2026 № 21-НПА
"О внесении изменения в приказ министерства строительства Новосибирской области от 29.12.2017 № 502"
(Зарегистрирован 20.02.2026 № 21-НПА)
Номер опубликования: 5401202602200002
Дата опубликования: 20.02.2026
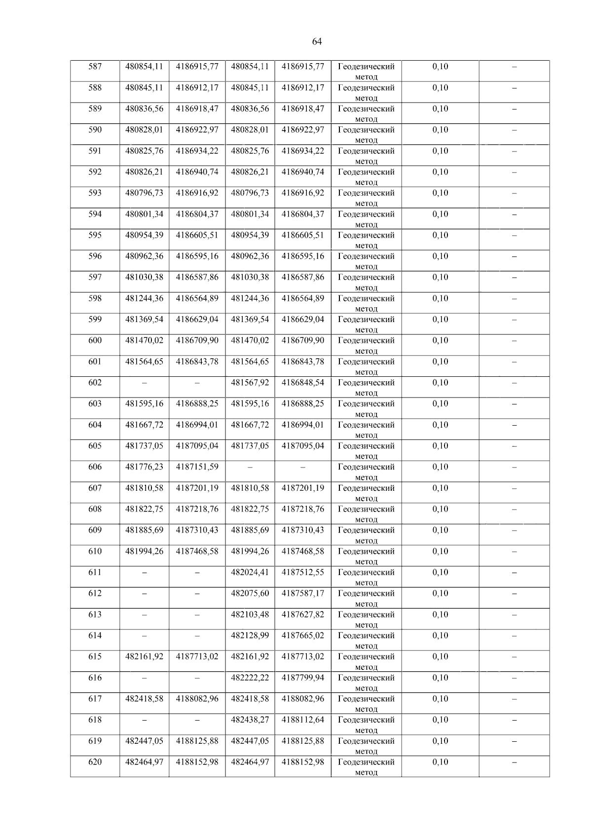
Страница №104 из 110:
Увеличить