Официальное опубликование правовых актов
ОФИЦИАЛЬНОЕ ОПУБЛИКОВАНИЕ
Приказ Министерства строительства Новосибирской области от 22.12.2025 № 191-НПА
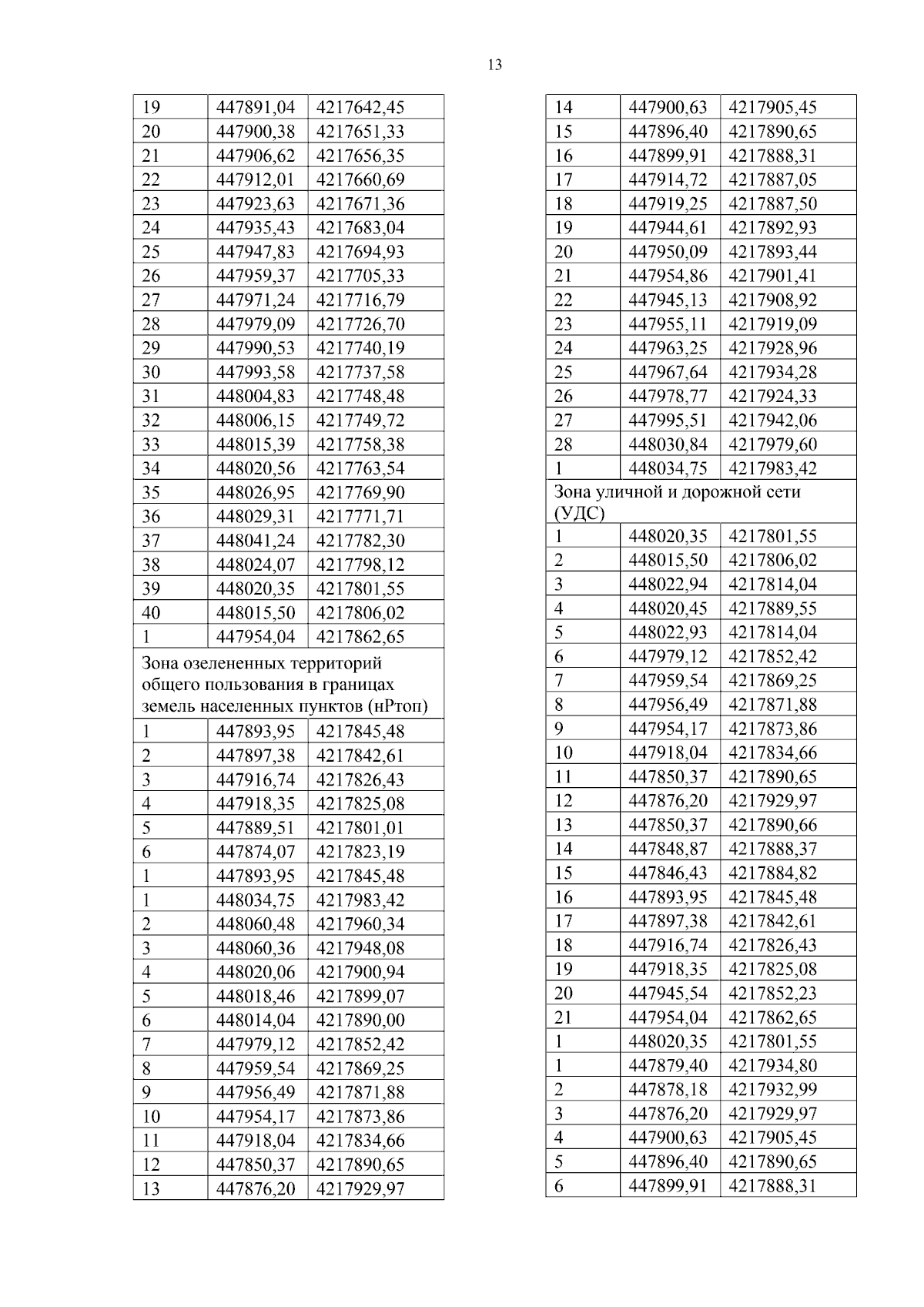
"Об утверждении проекта планировки территории села Лебедевка Искитимского района Новосибирской области, ограниченной улицами Школьная, Спортивная, Мира и переулком Юбилейный, в границах Совхозного сельсовета Искитимского района Новосибирской области и проекта межевания территории в его составе"
(Зарегистрирован 22.12.2025 № 191-НПА)
Номер опубликования: 5401202512220008
Дата опубликования: 22.12.2025
Страница №17 из 31:
Увеличить