Официальное опубликование правовых актов
ОФИЦИАЛЬНОЕ ОПУБЛИКОВАНИЕ
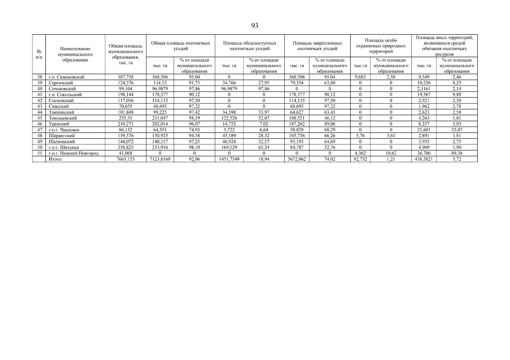
Указ Губернатора Нижегородской области от 24.04.2024 № 66
"О внесении изменений в Схему размещения, использования и охраны охотничьих угодий на территории Нижегородской области, утвержденную Указом Губернатора Нижегородской области от 17 декабря 2019 г. № 127"
Номер опубликования: 5200202404270002
Дата опубликования: 27.04.2024
Страница №94 из 786:
Увеличить