Официальное опубликование правовых актов
ОФИЦИАЛЬНОЕ ОПУБЛИКОВАНИЕ
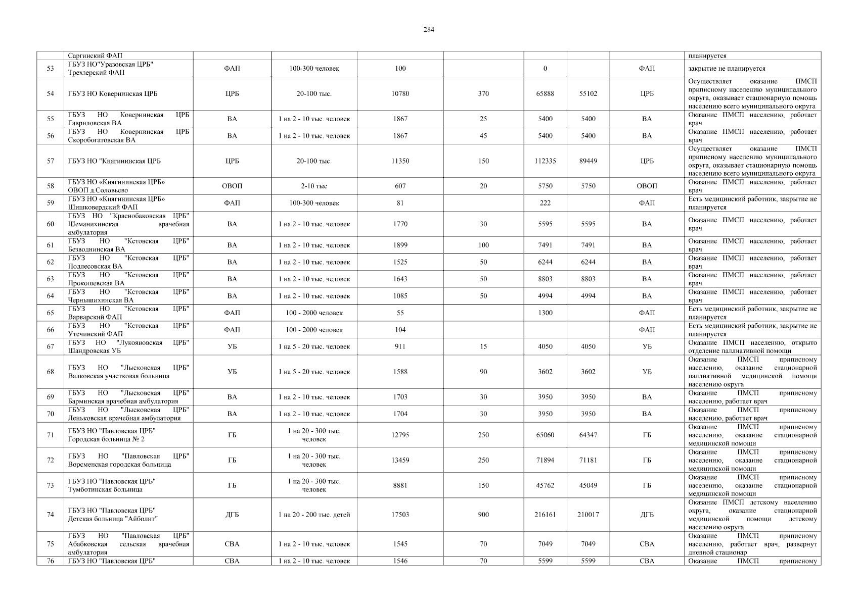
Постановление Правительства Нижегородской области от 26.12.2023 № 1131
"О внесении изменений в региональную программу модернизации первичного звена здравоохранения Нижегородской области, утвержденную постановлением Правительства Нижегородской области от 15 декабря 2020 г. № 1029"
Номер опубликования: 5200202312280008
Дата опубликования: 28.12.2023
Страница №285 из 2607:
Увеличить