Официальное опубликование правовых актов
ОФИЦИАЛЬНОЕ ОПУБЛИКОВАНИЕ
Распоряжение Министерства культуры Мурманской области от 09.02.2026 № 12
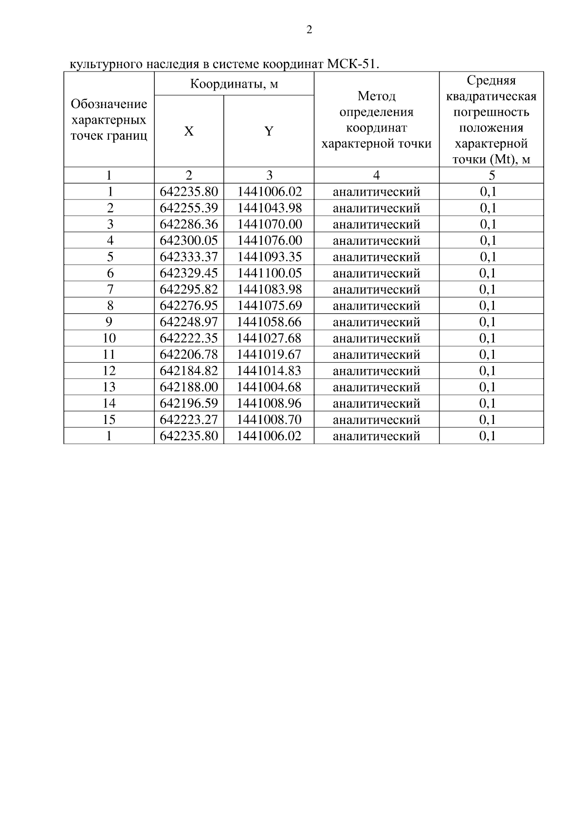
"Об установлении зон охраны (охранной зоны, зоны регулирования застройки и хозяйственной деятельности) объекта культурного наследия регионального значения "Здание склада, начало ХХ в.", 1917 г., местонахождение (адрес): Мурманская область, город Мурманск, улица Траловая, дом 19, а также ограничений использования земельных участков, водных объектов и их частей, требования к градостроительным регламентам в границах данных зон"
(Зарегистрирован 09.02.2026 № 12-2026-5)
Номер опубликования: 5101202602100002
Дата опубликования: 10.02.2026
Страница №4 из 13:
Увеличить