Официальное опубликование правовых актов
ОФИЦИАЛЬНОЕ ОПУБЛИКОВАНИЕ
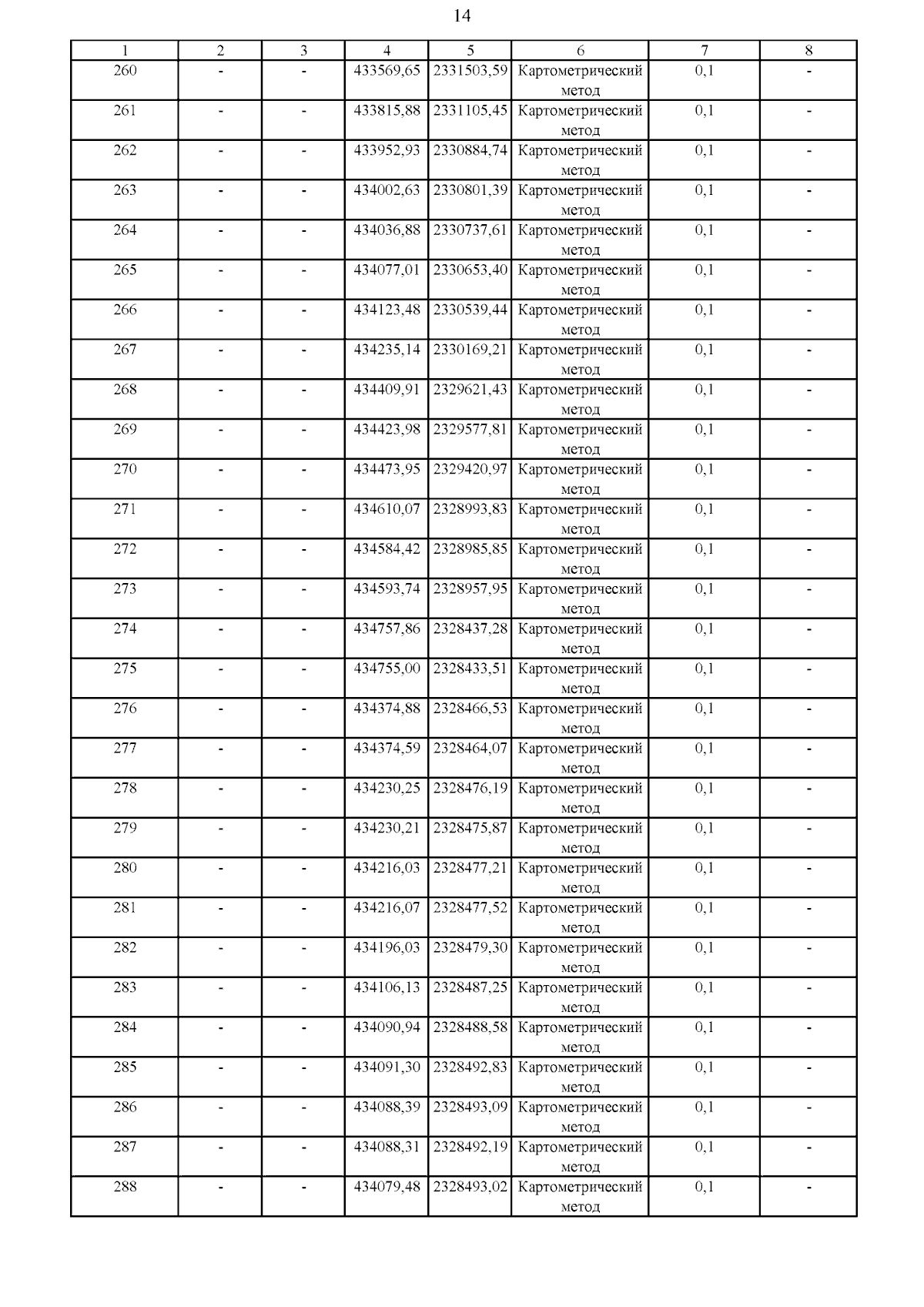
Постановление Правительства Ленинградской области от 23.12.2025 № 1079
"О внесении изменений в Генеральный план муниципального образования город Волхов Волховского муниципального района Ленинградской области"
Номер опубликования: 4700202512290018
Дата опубликования: 29.12.2025
Страница №43 из 153:
Увеличить