Официальное опубликование правовых актов
ОФИЦИАЛЬНОЕ ОПУБЛИКОВАНИЕ
Приказ Комитета по охране объектов культурного наследия Курской области от 30.03.2022 № 05.4-08/281
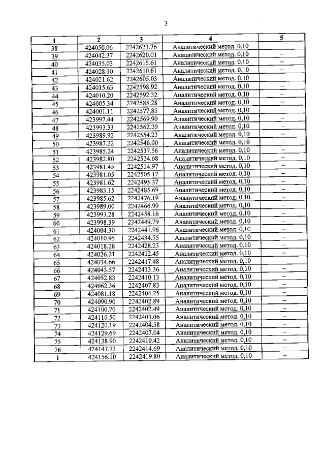
"Об утверждении графического описания местоположения границ защитной зоны объекта культурного наследия регионального значения "Братская могила воинов Советской Армии, погибших в январе 1943 года. Захоронено 31 человек, установлено фамилий на 20 человек. Скульптура установлена в 1954 году", 1943—1945 гг., 1954 г. (Курская область, Касторенский район, с. Орехово Ореховского сельсовета (у здания правления колхоза им. ХХI партсъезда)"
Номер опубликования: 4601202204060003
Дата опубликования: 06.04.2022
Страница №5 из 6:
Увеличить