Приказ Комитета по охране объектов культурного наследия Курской области от 30.03.2022 № 05.4-08/281
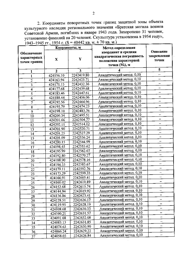
"Об утверждении графического описания местоположения границ защитной зоны объекта культурного наследия регионального значения "Братская могила воинов Советской Армии, погибших в январе 1943 года. Захоронено 31 человек, установлено фамилий на 20 человек. Скульптура установлена в 1954 году", 1943—1945 гг., 1954 г. (Курская область, Касторенский район, с. Орехово Ореховского сельсовета (у здания правления колхоза им. ХХI партсъезда)"
"Об утверждении графического описания местоположения границ защитной зоны объекта культурного наследия регионального значения "Братская могила воинов Советской Армии, погибших в январе 1943 года. Захоронено 31 человек, установлено фамилий на 20 человек. Скульптура установлена в 1954 году", 1943—1945 гг., 1954 г. (Курская область, Касторенский район, с. Орехово Ореховского сельсовета (у здания правления колхоза им. ХХI партсъезда)"
Номер опубликования: 4601202204060003
Дата опубликования:
06.04.2022
