Приказ Комитета по охране объектов культурного наследия Курской области от 02.02.2022 № 05.4-08/54
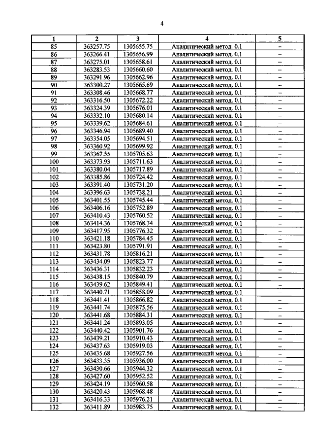
"Об утверждении графического описания местоположения границ защитной зоны объекта культурного наследия регионального значения "Братская могила воинов Советской Армии, погибших в феврале 1943 года. Захоронено 318 человек, установлено фамилий на 129 человек. Скульптурная группа установлена в 1966 году",1943 г., 1966 г. (Курская область, Обоянский район, город Обоянь (парк Юных пионеров))"
"Об утверждении графического описания местоположения границ защитной зоны объекта культурного наследия регионального значения "Братская могила воинов Советской Армии, погибших в феврале 1943 года. Захоронено 318 человек, установлено фамилий на 129 человек. Скульптурная группа установлена в 1966 году",1943 г., 1966 г. (Курская область, Обоянский район, город Обоянь (парк Юных пионеров))"
Номер опубликования: 4601202202110015
Дата опубликования:
11.02.2022
