Официальное опубликование правовых актов
ОФИЦИАЛЬНОЕ ОПУБЛИКОВАНИЕ
Приказ Комитета по охране объектов культурного наследия Курской области от 02.02.2022 № 05.4-08/54
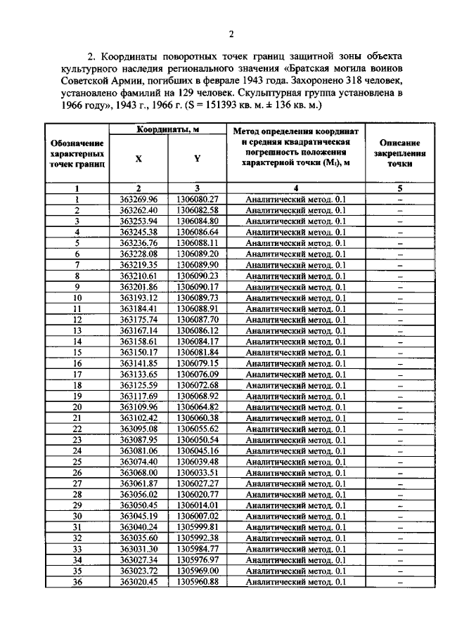
"Об утверждении графического описания местоположения границ защитной зоны объекта культурного наследия регионального значения "Братская могила воинов Советской Армии, погибших в феврале 1943 года. Захоронено 318 человек, установлено фамилий на 129 человек. Скульптурная группа установлена в 1966 году",1943 г., 1966 г. (Курская область, Обоянский район, город Обоянь (парк Юных пионеров))"
Номер опубликования: 4601202202110015
Дата опубликования: 11.02.2022
Страница №4 из 8:
Увеличить