Приказ Комитета по охране объектов культурного наследия Курской области от 02.02.2022 № 05.4-08/51
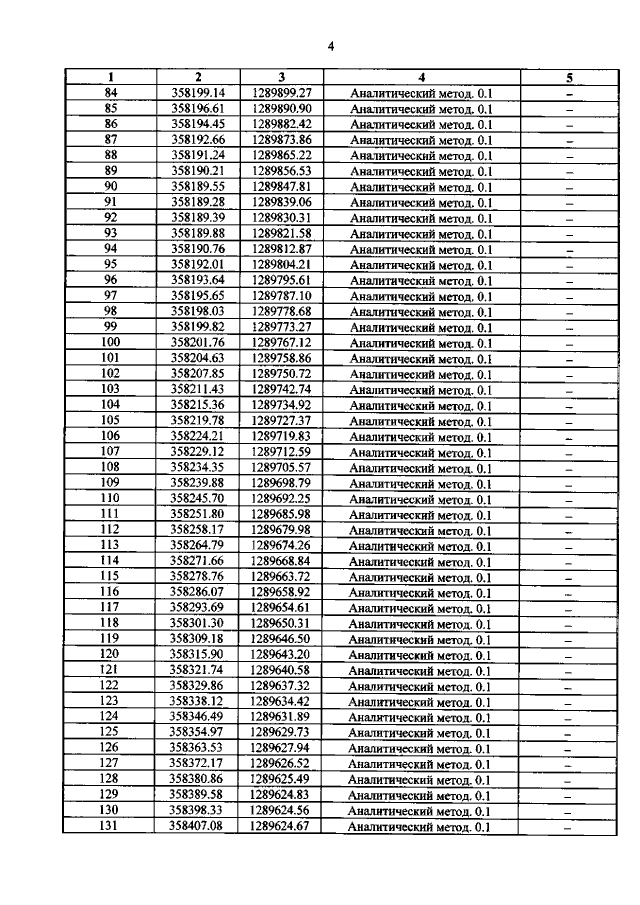
"Об утверждении графического описания местоположения границ защитной зоны объекта культурного наследия регионального значения "Братская могила воинов Советской Армии, погибших в период Великой Отечественной войны. Захоронено 7 человек, установлено фамилий на 6 человек. Скульптура установлена в 1962 году", 1941–1945 гг., 1962 г.(Курская область, Обоянский район, село Каменка (в 15 метрах севернее здания сельсовета)"
"Об утверждении графического описания местоположения границ защитной зоны объекта культурного наследия регионального значения "Братская могила воинов Советской Армии, погибших в период Великой Отечественной войны. Захоронено 7 человек, установлено фамилий на 6 человек. Скульптура установлена в 1962 году", 1941–1945 гг., 1962 г.(Курская область, Обоянский район, село Каменка (в 15 метрах севернее здания сельсовета)"
Номер опубликования: 4601202202110010
Дата опубликования:
11.02.2022
